5
Total Mentions
5
Documents
5
Connected Entities
Person referenced in documents
EFTA01300709
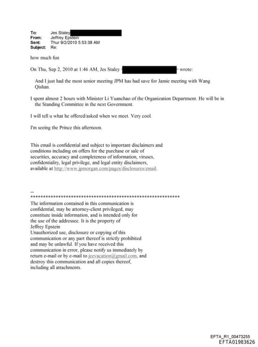
46:25 AM Subject: And I just had the most senior meeting JPM has had save for Jamie meeting with Wang Qishan. I spent almost 2 hours with Minister Li Yuanchao of the Organization Department. He will be in the Standing Committee in the next Government. I will tell u what he offered/asked when we meet. Very
EFTA01300710
Staley <a> wrote: And I just had the most senior meeting JPM has had save for Jamie meeting with Wang Qishan. I spent almost 2 hours with Minister Li Yuanchao of the Organization Department. He will be in the Standing Committee in the next Government. I will tell u what he offered/asked when we meet. Very
EFTA01983626
Staley ia wrote: And I just had the most senior meeting JPM has had save for Jamie meeting with Wang Qishan. I spent almost 2 hours with Minister Li Yuanchao of the Organization Department. He will be in the Standing Committee in the next Government. I will tell u what he offered/asked when we meet. Very
EFTA02422007
2/2010 5:46:25 AM And I just had the most senior meeting JPM has had save for Jamie meeting with Wang Qishan. I spent almost 2 hours with Minister Li Yuanchao of the Organization Department. He will be in the Standing Committee in the next Government. I will tell u what he offered/asked when we meet. Very
EFTA02348241
men once thought frontrunne=s for elevation: the party chief of Guangdong province, Wang Yang, and the=head of the party's Organisation Department, Li Yuanchao. Both are seen =s Mr Hu's men and are reputed to be relatively liberal. None of this necessarily means that Mr Xi will shy away from economic, or e

Jes Staley
PersonAmerican banker, chief executive officer of Barclays

Wang Qishan
Person10th Vice President of the People's Republic of China from 2018 to 2023
the Organization Department
OrganizationOrganization referenced in documents
the Standing Committee
OrganizationOrganization referenced in documents

Jeffrey Epstein
PersonAmerican sex offender and financier (1953–2019)