2
Total Mentions
2
Documents
0
Connected Entities
Organization referenced in documents
EFTA00221135
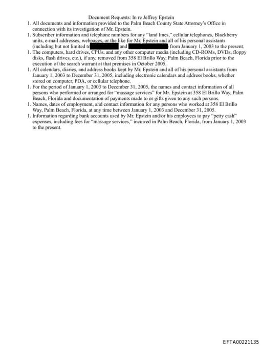
ontact information for any persons who worked at 358 El Brillo Way, Palm Beach, Florida, at any time between January 1, 2003 and December 31, 2005. I. Information regarding bank accounts used by Mr. Epstein and/or his employees to pay "petty cash" expenses, including fees for "massage services," incurred in Pa
EFTA00714137
07 May 2016 CUBA TRAVEL DOCUMENTATION FOR PRIVATE, CHARTER AND AIR AMBULANCE FLIGHTS EFTA00714137 INDEX I. Information for Cuba Travel 2. Aircraft and Vessels (AVS) Regulations 3. Cuba Traveler Certification Form (Attachment 1) 4. Cuba BIS Certification Form (Attac
No connected entities