5
Total Mentions
5
Documents
37
Connected Entities
Organization referenced in documents
EFTA00064766
humility? Clearly not a good precedent at all for the exercise of prosecutorial discretion! Joel Cohen, a former prosecutor, is a senior counsel at Stroock & Stroock & Lavan. He is an adjunct professor at Fordham Law School. Dale J. Degenshein, special counsel at Stroock, assisted in the preparation of this article. EFT
EFTA00064780
humility? Clearly not a good precedent at all for the exercise of prosecutorial discretion! Joel Cohen, a former prosecutor, is a senior counsel at Stroock & Stroock & Lavan. He is an adjunct professor at Fordham Law School. Dale J. Degenshein, special counsel at Stroock, assisted in the preparation of this article. 16
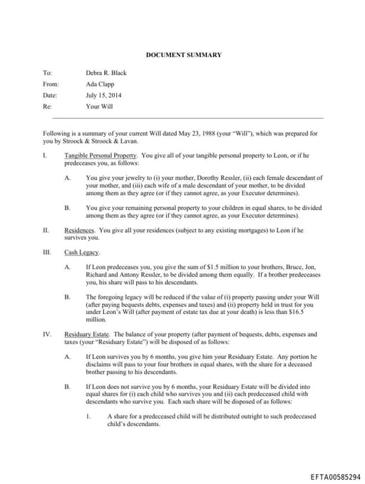
EFTA00585294
p Date: July 15, 2014 Re: Your Will Following is a summary of your current Will dated May 23, 1988 (your "Will"), which was prepared for you by Stroock & Stroock & Lavan. I. Tangible Personal Property. You give all of your tangible personal property to Leon, or if he predeceases you, as follows: A. You give your
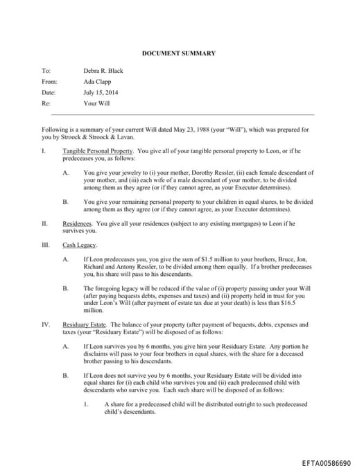
EFTA00586690
p Date: July 15, 2014 Re: Your Will Following is a summary of your current Will dated May 23, 1988 (your "Will"), which was prepared for you by Stroock & Stroock & Lavan. I. Tangible Personal Property. You give all of your tangible personal property to Leon, or if he predeceases you, as follows: A. You give your
EFTA00586768
p Date: July 15, 2014 Re: Your Will Following is a summary of your current Will dated May 23, 1988 (your "Will"), which was prepared for you by Stroock & Stroock & Lavan. I. Tangible Personal Property. You give all of your tangible personal property to Leon, or if he predeceases you, as follows: A. You give your
Ada Clapp
PersonIndividual referenced in Epstein documents
Leon Black
PersonAmerican billionaire businessman (born 1951)
Dorothy Ressler
PersonPerson referenced in documents
Residuary Estate
OrganizationOrganization referenced in documents
Debra R. Black
PersonPerson referenced in documents
Antony
PersonFirst name reference to multiple individuals
Herbert
PersonFirst name reference to multiple individuals in the documents
Antony Ressler
PersonPerson referenced in documents
Bruce, Jon
PersonName reference in documents
Herbert Bachelor
PersonName reference in documents
the Child's Trust
OrganizationOrganization referenced in documents
Contingent Beneficiaries
OrganizationOrganization referenced in documents

Osama bin Laden
PersonSaudi terrorist and co-founder of al-Qaeda (1957–2011)
Fordham Law School
OrganizationOrganization referenced in documents
Joel Cohen
PersonName reference in documents

Jeffrey Epstein
PersonAmerican sex offender and financier (1953–2019)

Bin Laden
PersonAl-Qaeda founder, referenced in Epstein-related media and news coverage documents
Bennett Gershman's
PersonName reference in documents
Hastings L. J.
PersonName reference in documents
Yick Wo v. Hopkins
PersonName reference in documents