3
Total Mentions
3
Documents
7
Connected Entities
Name reference in documents
EFTA00214976
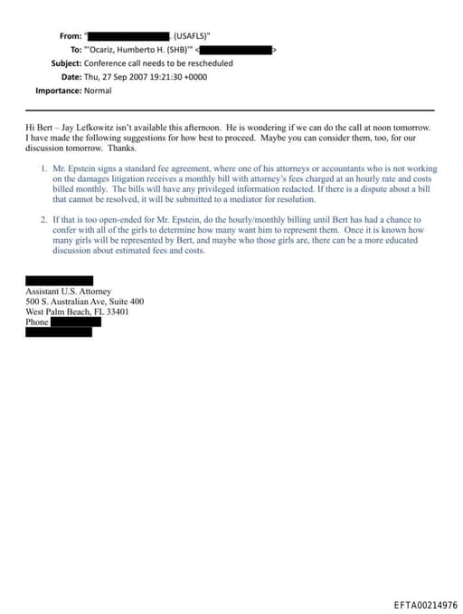
)" To: "'Ocariz, Humberto H. (SHB)" Subject: Conference call needs to be rescheduled Date: Thu, 27 Sep 2007 19:21:30 +0000 Importance: Normal Hi Bert — Jay Lefkowitz isn't available this afternoon. He is wondering if we can do the call at noon tomorrow. I have made the following suggestions for how best to procee
EFTA00233878_email_003
. Bert Ocariz From Sent: Thursday, September 27, 2007 3:22 PM To: Ocariz, Humberto H. (SHB) Subject: Conference call needs to be rescheduled Hi Bert — Jay Lefkowitz isn't available this afternoon. He is wondering if we can do the call at noon tomorrow. I have made the following suggestions for how best to procee
EFTA00233209_email_003
2. Bert Ocariz From: Sent: Tnursaay,September 2/, ZUU .ZZ FM To: Ocariz, Humberto H. (SHB) Subject: Conference call needs to be rescheduled Hi Bert — Jay Lefkowitz isn't available this afternoon. He is wondering if we can do the call at noon tomorrow. I have made the following suggestions for how best to procee

Jeffrey Epstein
PersonAmerican sex offender and financier (1953–2019)

Jay Lefkowitz
PersonAmerican lawyer

Ocariz
PersonSurname reference in Epstein documents
Bert Ocariz
PersonPerson referenced in documents
Lizette
OrganizationOrganization referenced in documents
Cueto
PersonName reference in documents
Lizette Z.
PersonName reference in documents