4
Total Mentions
4
Documents
3
Connected Entities
Organization referenced in documents
EFTA00869432
eliminary review There are in effect two real property transfers. The transfer of the LLC interest (holding real property interest X) from trust to LDB/DRB and the transfer of real property Y from LDB/DRB to LLC. If the trust retains control of SHM Meadow, it would seem that there would not be a transfe
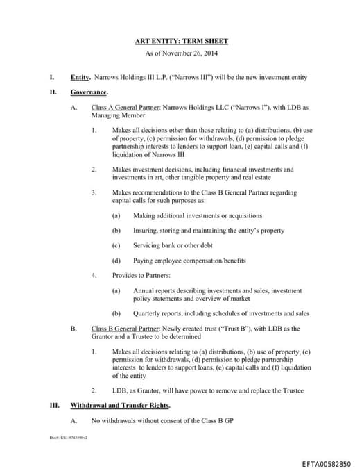
EFTA00582850
P IV. Use ot Art, Other Tangible Property and Real Estate. A. By Partners and beneficiaries of Partners (e.g., DRB) subject to use agreement; if LDB/DRB use property while both are living and married, no rent; otherwise rent will be required B. For exhibition loans to enhance value as determined by
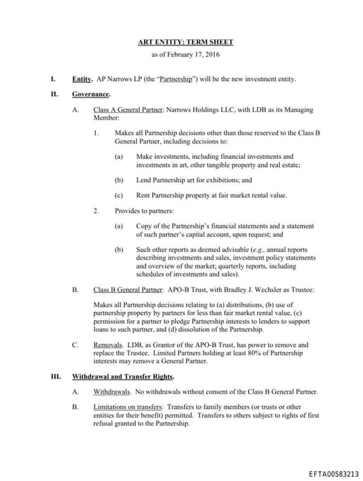
EFTA00583213
nted to the Partnership. EFTA00583213 2 IV. Use of Art. A. By partners and beneficiaries of partners (e.g., DRB) subject to use agreement; if LDB/DRB use property while both are living and married, no rent; otherwise rent will be required. B. By others, for fair market rent as determined by the
EFTA01979511
ffectively centralize taxing authority notifications to come through 760 Park and FO, please `uneheck" 3nd part designee boxes on children's, trust, LDB/DRB, et all income/ use tax returns. Thanks Richard Josli► CFO Elysium Management LLC EFTA_R1_00487180 EFTA01979511 445 Park Ave Ste. 1901 New

Jeffrey Epstein
PersonAmerican sex offender and financier (1953–2019)
Narrows Holdings LLC
OrganizationOrganization referenced in documents
Eileen Alexanderson
PersonManager of Leon Black's family office, handled Epstein's accounting and financial operations