3
Total Mentions
3
Documents
5
Connected Entities
Organization referenced in documents
EFTA00868139
a mathematical approach the evolution of human language, prelife and the origin of evolution. Martin Nowak studied biochemistry and mathematics at the University of Vienna. He received his . sub auspiciis praesidentis in 1989. He went to the University of Oxford as an Erwin Schrgoedinger Scholar and worked there with
EFTA01826493
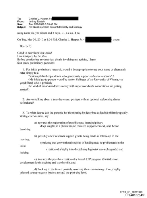
ly refer simply to a "serious philanthropic donor who generously supports advance research" ? (My initial go-to person would be Anton Zeilinger of the University of Vienna, --a good friend who is precisely the kind of broad-minded visionary with super worldwide connections for getting started.) 2. Arc we talking abo
HOUSE_OVERSIGHT_015675_sub_003 - HOUSE_OVERSIGHT_015974
an be no solution in 1735 after five hundred years of failure by other mathematicians. The answer is you cannot. In 1931 Kurt Gédel, then working at the University of Vienna, proved mathematics is like our sporting analogy. There are true statements in mathematics that cannot be proven by the rules of the system. Someone

Jeffrey Epstein
PersonAmerican sex offender and financier (1953–2019)

Alan Dershowitz
PersonAmerican lawyer, author, and art collector (born 1938)
Leon Black
PersonAmerican billionaire businessman (born 1951)

Prince Charles
PersonKing of the United Kingdom and other Commonwealth realms since 2022 (born 1948)

Richard Kahn
PersonJeffrey Epstein's accountant and estate co-executor (2005-present)