3
Total Mentions
3
Documents
7
Connected Entities
Name reference in documents
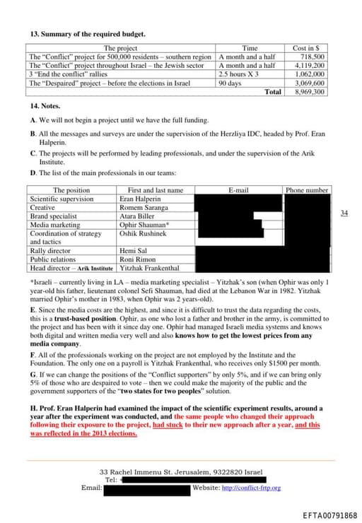
EFTA00791868
rategy and tactics O . hir Shauman* Oshik Rushinek I Rall director Hemi Sal I Public relations Roni Rimon I Head director — Arik Institute Yitzhak Frankenthal I *Israeli — currently living in LA — media marketing specialist — Yitzhak's son (when Ophir was only 1 year-old his father, lieutenant colonel Se
EFTA02549055
On Mon, Dec 11, 2017 at 9:24 PM, Ron Altbach <[email protected] <mailto:[email protected]» wrote: Grandma, Read this. I recently met Yitzhak Frankenthal, the father of a soldier slain by Hamas in 1994. That event led Yitzhak to dedicate his life to peace. But he is not a peacenik, he is not a leftist
EFTA02549238
Ron Altbach <[email protected] <mailto:[email protected]» wrote: Grandma, EFTA_R1_01704404 EFTA02549238 Read this. I recently met Yitzhak Frankenthal, the father of a soldier slain by Hamas in 1994. That event led Yitzhak to dedicate his life to peace. But he is not a peacenik, he is not a leftist

Yitzhak
PersonIsraeli politician, statesman and general (1922–1995)

Michael Cohen
PersonAmerican former attorney and former Republican official

Jeffrey Epstein
PersonAmerican sex offender and financier (1953–2019)
Ron Altbach
PersonPerson referenced in documents
The Fund For Reconciliation, Tolerance & Peace
OrganizationOrganization referenced in documents
The Arik Institute for Reconciliation, Tolerance and Peace
OrganizationOrganization referenced in documents

West Bank
LocationTerritory in the Middle East