3
Total Mentions
3
Documents
1
Connected Entities
Name reference in documents
EFTA00179447
Magistrate Judge who originally set the conditions of release. DONE AND ORDERED at West Palm Beach, Florida, this 1st day of February, 2010. 7S/ ANN E. VITUNAC ANN E. VITUNAC UNITED STATES MAGISTRATE JUDGE c: All Counsel of Record EFTA00179449 3AtiINN .3 11MA EFTA00179450 UNITED STATES DISTRICT COUR
EFTA00212046
tly return this warrant to as required by law. U.S. Judge or Magistrate Judge at WEST PALM BEACH, FLORIDA City and State Date and Time Issued ANN E. VITUNAC United States Magistrate Judge Name and Title of Judicial Officer AO 93 (Rev. 5/85) Search Warrant RETURN DATE WARRANT RECEIVED IDATE AND TIME
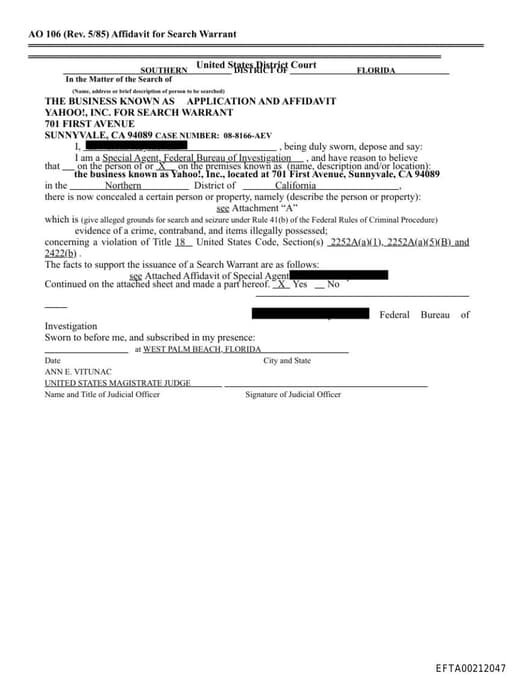
EFTA00212047
arf . hereof. X Yes No Federal Bureau of Investigation Sworn to before me, and subscribed in my presence: at WEST PALM BEACH FLORIDA Date ANN E. VITUNAC UNITED STATES MAGISTRATE JUDGE Name and Title of Judicial Officer Signature of Judicial Officer City and State EFTA00212047