6
Total Mentions
6
Documents
14
Connected Entities
Surname or name fragment in documents
EFTA00859403
at 10:23 AM Subject: Re: To: "[email protected]" [email protected]> No, leon and brad spoke but brad and alan aren't fully coordinated yet. Secondment: currently out of office but will forward later. From: Jeffrey E. [mailtoleeyacationagmail com Sent: Wednesday, April 15, 2015 07:06 AM To: Brad
EFTA02397326
From: Sent: Tuesday, April 14, 2015 9:18 PM To: jeffrey E. Subject: Re: Paralegal Secondment II martedi 14 aprile 2015, jeffrey E. <[email protected] <mailto:[email protected]> ha scr=tto: I guess this the e=leen debrief person ""Il
EFTA02398741
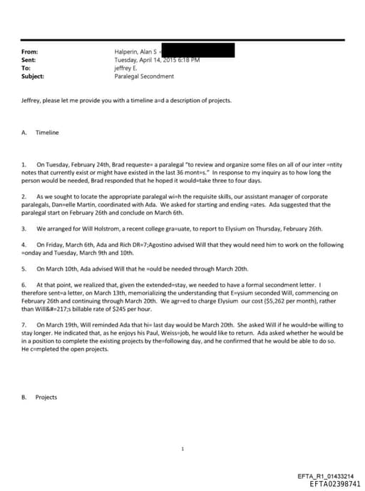
From: Halperin, Alan Sent: Tuesday, April 14, : To: Jeffrey E. Subject: Paralegal Secondment Jeffrey, please let me provide you with a timeline a=d a description of projects. A. Timeline 1. On Tuesday, February 24th, Brad requeste= a par
EFTA02403812
ednesday, April 15, 2015 2:23 PM To: [email protected]* Subject: Re: No, leon and brad spoke but brad and alan aren't fully coordinated yet. Secondment: currently out of office but will forward later. From: jeffrey E. [mailto:[email protected] Sent: Wednesday, April 15, 2015 07:06 AM To: Bra
EFTA02503868
From: jeffrey E. <[email protected]> Sent: Wednesday, April 15, 2015 1:39 PM To: Melanie Spinella Subject: Fwd: Paralegal Secondment do you mean a 21 year old kid a recent college=grad was supposed to be debriefing eileen about trusts, Ilc, b=nks , authorities. offshore fling his
EFTA02504422
l.com> =quot; <[email protected]</=» <mailto:[email protected]> No, leon and brad spoke but brad and alan aren&n=93 fully coordinated yet. Secondment: currently out of office but will fo=ward later. From: jeffrey E. [mailto:[email protected] <mailto:jeevacation@g=ail.com> I Sent: Wednesday,

Jeffrey Epstein
PersonAmerican sex offender and financier (1953–2019)

Alan Dershowitz
PersonAmerican lawyer, author, and art collector (born 1938)
Weiss
PersonAmerican multinational white-shoe law firm headquartered in New York City
Rifkind
PersonNER artifact: Part of law firm name Paul, Weiss, Rifkind, Wharton and Garrison LLP

Brad Wechsler
PersonAmerican business executive, former IMAX Corporation chairman and CEO, Managing Partner of Elysium LLC (Leon Black's family office)
Elysium
LocationLocation referenced in documents
Alan S. Halperin
PersonAttorney who represented Epstein estate and appeared in Elysium (Leon Black) family office meetings
Wharton & Garrison LLP
OrganizationPaul, Weiss, Rifkind, Wharton & Garrison LLP, major American law firm whose chairman Brad Karp corresponded with Epstein
IMAX Corporation
OrganizationIMAX Corporation, Canadian entertainment technology company specializing in large-format film projection

Melanie Spinella
PersonExecutive assistant to Leon Black at Apollo Global Management

Marc Rich
PersonAmerican commodities trader (1934–2013)
Will Holstrom
PersonName reference in documents
S. Halperin
PersonPerson referenced in documents
s. Ada
PersonName reference in documents