2
Total Mentions
2
Documents
0
Connected Entities
Organization referenced in documents
EFTA00780263
$ (210.3) Repayment of Bank Debt 0.0 Available for Distribution $ 1459.7 Distribution to Investors 75% $ 1094.8 Distribution to MarcellX Energy Company, LP 25% $ 364.9 Total $ 1459.7 Cash Flow to Investor 2009 6/1/09 (28.0) 2010 1/1/10 (31.0) 2011 1/1/11 (70.0) 2012 2013 12/31/13
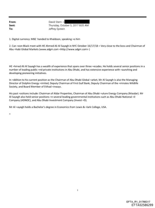
EFTA02586299
irates Wildlife Society, and Board Member of Etihad =irways. His past =ositions include: Chairman of Aldar Properties, Chairman of Abu Dhabi suture Energy Company (Masdar). Mr Al Sayegh also held senior positions =n several leading governmental institutions such as Abu Dhabi National =il Company (ADNOC), and
No connected entities