16
Total Mentions
16
Documents
11
Connected Entities
Surname reference in documents
EFTA00783452
52 (UTC) [5] EFTA00783455 Sender: Harry Fish ( Participants: Harry Fish ( ), Self ( e:[email protected] ) You can pick up the prescription at Zitomer in Madison Ave iMessage 2018-07-20 14:46:52 UTC 1 Sender: Harry Fish ( Participants: Harry Fish ( ), Self ([email protected] ) You can pick u
EFTA00554236
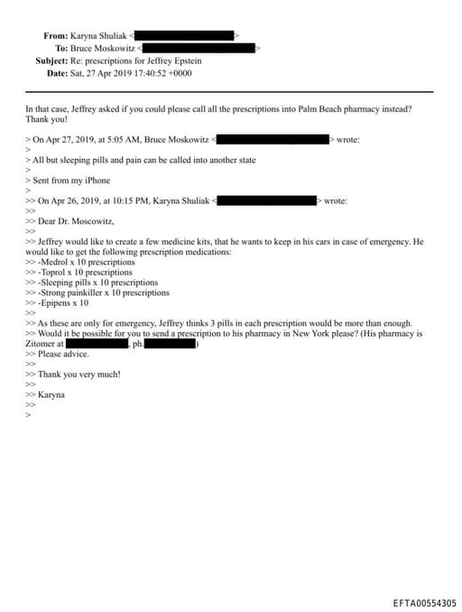
prescription would be more than enough. > Would it be possible for you to send a prrescription to his pharmacy in New York please? (His pharmacy is Zitomer at 969 Madison ave, ph. > Please advice. > Thank you very much! > Karyna EFTA00554236
EFTA00554305
prescription would be more than enough. >> Would it be ssible for ou to send a prrescription to his pharmacy in New York please? (His pharmacy is Zitomer at ph. » Please advice. » Thank you very much! » Karyna EFTA00554305
EFTA00554308
ach prescription would be more than enough. Would it be possible for you to send aprescription to his pharmacy in New York please? (His pharmacy is Zitomer at 969 Madison ave, ph. Please advice. Thank you very much! Karyna EFTA00554308
EFTA00554401
tions. Thank you! Karyna On May 1, 2019, at 5:23 PM, Roslyn@BruceMoskowitzMD > wrote: Hello, We can send in the Medrol, Toprol and Epi pens to Zitomer. Is he requesting 10 separate Kits, each containing one Epi Pen, one Medrol and three Toprol? Thanks! Ros Roslyn Fox, MSN, APRN FNP-C Dr. Bruce
EFTA00554405
ceMoskowitzMD" To: Subject: Emergency travel kits Date: Wed, 01 May 2019 21:23:41 +0000 Hello, We can send in the Medrol, Toprol and Epi pens to Zitomer. Is he requesting 10 separate Kits, each containing one Epi Pen, one Medrol and three Toprol? Thanks! Ros Roslyn Fox, MSN, APRN FNP-C Dr. Bruce
EFTA00554411
scription would be more than enough. >>>>>> Would it be possible for you to send a rescription to his pharmacy in New York please? (His pharmacy is Zitomer at 969 Madison ave, ph. >>»» Please advice. >>>>» >>»» Thank you very much! >>>>» >>»» Karyna >>>>» >>>» >>» >» > EFTA00554412
EFTA00554540
stions. Thank you! Karyna On May I, 2019, at 5:23 PM, Roslyn@BruceMoskowitzMD > wrote: Hello, We can send in the Medrol, Toprol and Epi pens to Zitomer. Is he requesting 10 separate Kits, each containing one Epi Pen, one Medrol and three Toprol? Thanks! Ros Roslyn Fox, MSN, APRN FNP-C Dr. Bruce
EFTA00554546
escription would be more than enough. >>>>> Would it be possible for you to send aprescription to his pharmacy in New York please? (His pharmacy is Zitomer at 969 Madison ave, ph. >»» Please advice. >>>» >»» Thank you very much! EFTA00554546 << cc< .<.<<< .<.<<<< Rua,' .<.<<<< .<.<<<< EFTA005
EFTA01616237
.youtube.com/watch?v=2X9E9n6GHC8 to EFTA01616238 • • Harry Fish Is that really Bannons view? 02:46:30 pm You can pick up the prescription at Zitomer in Madison Ave 02:46:52 pm Harry Fish Just did. 09:10:22 pm They only have 200 mg can you call and change 09:06:30 pm • • EFTA01616239 201
EFTA02239488
To: Bella Klei From: Sent Subject: Fwd: Prescription at Zitomer's is $1900-OK to Pay? Fri 3/16/2018 1:59:37 PM Jeffrey verbally said YES to paying for this...on black Amex Begin forwarded message: From: Subje
EFTA02272750
To: From: Sent Subject Re: Blue Amex Wed 1/16/2019 9:46:27 PM I'm sure not. The only pharmacy I have used for JE is Zitomer's and it has been awhile for that one. Jeffrey has asked me to use Vitahealth for his prescriptions...which I do and will make sure they have the n
EFTA02272769
pharmacy, maybe we can get a refund.. Thank you, Bella On Jan 16, 2019, at 4:46 PM, wrote: I'm sure not. The only pharmacy I have used for JE is Zitomer's and it has been awhile for that one. Jeffrey has asked me to use Vitahealth for his prescriptions...which I do and will make sure they have the n
EFTA02272908
pharmacy, maybe we can get a refund.. Thank you, Bella On Jan 16, 2019, at 4:46 PM wrote: I'm sure not. The only pharmacy I have used for JE is Zitomer's and it has been awhile for that one. Jeffrey has asked me to use Vitahealth for his prescriptions...which I do and will make sure they have the n
EFTA02273675
e pharmacy, maybe we can get a refund.. Thank you, Bella On Jan 16 2019 at 4:46 PM, wrote: I'm sure not. The only pharmacy I have used for JE is Zitomer's and it has been awhile for that one. Jeffrey has asked me to use Vitahealth for his prescriptions...which I do and will make sure they have the
EFTA02501874
From: Lesley Groff <MII=I > Sent: Friday, March 16, 2018 1:22 PM To: Jefffrey Epstein Subject: Prescription at Zitomer's is $1900-OK to Pay? the perscription at Zitomers will be $1900. 3 pills were covered by =nsurance, but the doctor who called it in asked to give

Jeffrey Epstein
PersonAmerican sex offender and financier (1953–2019)

Karyna Shuliak
PersonBelarusian dentist, Jeffrey Epstein's girlfriend and named heir to his estate

Bruce Moskowitz
PersonResearcher

Bella Klein
PersonAmerican accountant and assistant to Jeffrey Epstein
CAMBRIDGE CHEMISTS
OrganizationOrganization referenced in documents
Blue Amex
OrganizationOrganization referenced in documents
APRN FNP-C
OrganizationOrganization referenced in documents
THIRD AVE APOTHECARY
OrganizationOrganization referenced in documents

Steve Bannon
PersonAmerican media executive & political strategist (born 1953)
Harry Fish
PersonPerson referenced in documents
Zitomers
OrganizationOrganization referenced in documents