15
Total Mentions
15
Documents
93
Connected Entities
Organization referenced in documents
EFTA00079513
ded mail. EFTA00079525 I beg you to believe, Minister of Justice, in the expression of my deepest respect. EFTA00079526 E'taAs ionSkI 1- About Annexes /OFF: M felt, my analyses, and the other facts, and related characters: I didn't think it would be so hard to tell truths in this world, yet there
EFTA01282547
nment or regulatory authority. 2002 Master Agreement Protocol The parties agree that the provisions of the 2002 Master Agreement Protocol including Annexes I - 18 inclusive published by the International Swaps and Derivatives Association, Inc on 15th July 2003 (the "Protocol") are incorporated into and
EFTA01343889
Deutsche Bank / Annexes Annex 1: Chain of delegated authority Delegation Level Committee name or position title of individual First delegation chain Second delegation
EFTA00614191
Sections", "subsections" or "paragraphs" are to Articles, Sections, subsections and paragraphs of this Agreement and all references to "Exhibits", "Annexes" and "Schedules" are to the exhibits, annexes and schedules attached hereto. 15.12. Limitation on Liability. The Members shall not be bound by, or
EFTA01374055
a prime broker and custodian to the Master Fund pursuant to the terms and conditions of a Customer Prime Broker Account Agreement (together with the Annexes and Schedules thereto) dated December 31, 2002, (the `Morgan Stanley Prime Brokerage Agreement"). In accordance with applicable US law, including
EFTA01374054
redit Suisse acts as a prime broker and custodian to the Master Fund pursuant to the terms and conditions of a Customer Agreement (together with the Annexes thereto) dated January 12, 2012 (the "Credit Suisse Prime Brokerage Agreement"). Credit Suisse is a part of the Credit Suisse Group and is based in
EFTA01386125
redit Suisse acts as a prime broker and custodian to the Master Fund pursuant to the terms and conditions of a Customer Agreement (together with the Annexes thereto) dated January 12, 2012 (the "Credit Suisse Prime Brokerage Agreement"). Credit Suisse is a part of the Credit Suisse Group and is based in
EFTA01386912
ial Facility Agreement, which may be (i) used to amend the definitions of Senior Funding Commitment and Mezzanine Funding Commitment and any of the Annexes and Schedules thereto (except for Schedules 1, 3 and 5 through 7) and (ii) executed with the consent of solely the Portfolio Advisor (on behalf of t
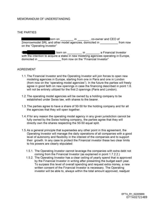
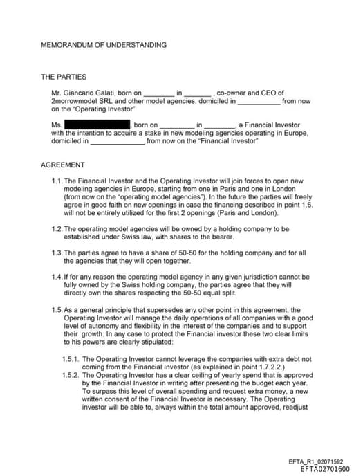
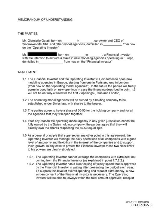
EFTA02701600
the Agreement was concluded. 3.2. Amendments to the Contract. Any amendment to the Contract must be in writing and signed by both Parties. 3.3. Annexes to the constitute an integral and substantial part of the Contract. 3.4. Any dispute or conflict arising out of or in connection with this Contract
EFTA02716536
the Agreement was concluded. 3.2. Amendments to the Contract. Any amendment to the Contract must be in writing and signed by both Parties. 3.3. Annexes to the constitute an integral and substantial part of the Contract. 3.4. Any dispute or conflict arising out of or in connection with this Contract
EFTA02721489
the Agreement was concluded. 3.2. Amendments to the Contract. Any amendment to the Contract must be in writing and signed by both Parties. 3.3. Annexes to the constitute an integral and substantial part of the Contract. 3.4. Any dispute or conflict arising out of or in connection with this Contract
EFTA02617316
If nothing is available I shall try =yself. From:=/b> 1 =mailto:[email protected]] Sent: 20 October 2018 08:28 =M To: labor Y. Subject: Fwd: Annexes =aroc this is =nother property, they tell me they also have a =itle . /tax problem. can you ask your local lawyer to =eview for me. maybe we can b
EFTA02617949
on this when I am there by next week. =o:p> From:=/b> J =mailto:[email protected] Sent: 20 October 2018 08:28 =M To: labor Y. Subject: Fwd: Annexes =aroc this is =nother property, they tell me they also have a =itle . /tax problem. can you ask your local lawyer to =eview for me. maybe we can b
Y FM AIRCRAFT SECURITY AGREEMENT (S/N RK-244) -1 A 0 0 0 THIS AIRCRAFT SECURITY AGREEMENT (S/N RK- 44) (together with all Addenda, Riders and Annexes hereto, this "Agreement) is dated as of November , 2011 (the "Closing Date"), by FLIGHT z 0 OPTIONS, LLC, a Delaware limited liability company (*B
EFTA01327387_sub_002 - EFTA01327387_200
A O O AIRCRAFT SECURITY AGREEMENT (S/N RK-244) 0 0 0 < 0 THIS AIRCRAFT SECURITY AGREEMENT (S/N RK-2,44) (together with all Addenda, Riders and Annexes hereto, this "Agreement") is dated as of November, 2011 (the "Closino Date") by FLIGHT n' OPTIONS, LLC, a Delaware limited liability company ("Borro

United States
LocationCountry located primarily in North America
the State of New York
LocationState in the northeastern United States
Amman
LocationCapital and largest city of Jordan

Jeffrey Epstein
PersonAmerican sex offender and financier (1953–2019)
ma ~Ws Aiwa
OrganizationOrganization referenced in documents
Septets
OrganizationOrganization referenced in documents

Geneva
LocationCity in Switzerland and capital of its canton
S. O. • K
PersonName reference in documents

Milan
LocationItalian commune and capital city of Lombardy

Paul Barrett
PersonAmerican investment banker and fund manager, founder of Alpha Group Capital, former JPMorgan private banker who managed Jeffrey Epstein's assets (2017-2019)
Giancarlo Galati
PersonName reference in documents
wan .mtrais
PersonName reference in documents
O. taw n*
PersonName reference in documents
Itte Wawa aloe le Sets Sew ems
PersonName reference in documents
ta so% ne
PersonName reference in documents

Target
OrganizationAmerican retail corporation

Credit Suisse
OrganizationSwiss multinational banking institution
the Financial Investor
OrganizationOrganization referenced in documents
The Operating Investor
OrganizationOrganization referenced in documents
Commercial Asset Finance
OrganizationOrganization referenced in documents