3
Total Mentions
3
Documents
1
Connected Entities
Organization referenced in documents
EFTA01282908
ld harmless DBTCA for any claims. losses. expenses, costs or attorneys' fees resulting from DBTCA's acting upon such misunderstood and unauthorized Verbal Inshurtions. You understand that OBTCA May, but shell oot be required to. seek verification of your verbal, facsimile or email instructions by call back. In cas
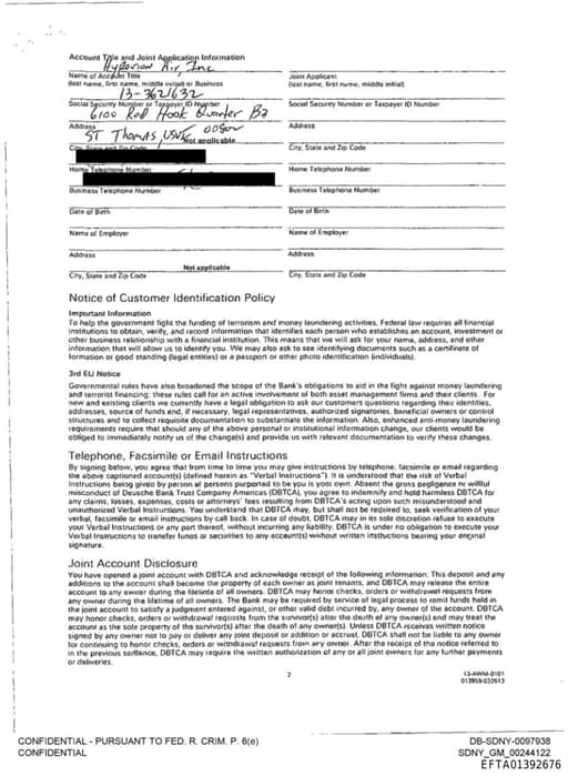
EFTA01392676
ld harmless DBTCA for any claims, losses, expenses, costs or attorneys' fees resulting from DBTCA's acting upon such misunderstood and unauthorized Verbal Inshurtions. You underitand that DBTCA may. but shell coot be required to, seek verification of your verbal, facsimile or email instructions by call back. In ca
EFTA01392772
ld harmless DBTCA for any claims, losses, expenses, costs or attorneys' fees resulting from DBTCA's acting upon such misunderstood and unauthorized Verbal Inshurtions. You underitand that DBTCA may. but shall coot be required to, seek verification of your verbal, facsimile or email instructions by call back. In ca