9
Total Mentions
9
Documents
2
Connected Entities
Surname reference in documents
EFTA00771900
[email protected]" <[email protected]> Subject: Need your help Date: Thu, 22 Oct 2009 17:35:59 +0000 Suggestions for board members and advisors for Hourglass and advice and direction in helping financing this thing... Thanks, Dan EFTA00771900
EFTA00739441
RFP. I owe you that... but am reworking it for you... so it will come after Gadgetoff. 4) I am sending you two articles: one about AQ Khan and the Hourglass initiative (on Huffington Post) and another write up on the Hourglassinitiative.org website. 5) If you need advice on the potential blowback of cha
EFTA00739446
RFP. I owe you that... but am reworking it for you... so it will come after Gadgetoff. 4) I am sending you two articles: one about AQ Khan and the Hourglass initiative (on Huffington Post) and another write up on the Hourglassinitiative.org website. 5) If you need advice on the potential blowback of cha
EFTA02414412
land... tres cool. 2) Want to ask him about strategy re JE and his web presence 3) Want to enquire how "anonymous" (or not) his contribution to the Hourglass Initiative should be... Here's info on Tony Mulligan. See the video (CNN) and read the articles on the web links below. The sidescan sonar (the c
EFTA02423580
eevacationegmailcomj From: Dan Dubno Sent Wed 8/25/2010 3:40:49 PM Subject Yesterday Great seeing you. Thanks for the generous contribution to Hourglass. Will send you the stuff needed. If you want any research on that energy thing, easily done. I have been thinking about your need for a writer-rese
EFTA02436776
RFP. I owe you that... but am reworking it for you... so it will come after Gadgetoff. 4) I am sending you two articles: one about AQ Khan and the Hourglass initiative (on Huffington Post) and another write up on the Hourglassinitiative.org website. 5) If you need advice on the potential blowback of cha
EFTA02436792
RFP. I owe you that... but am reworking it for you... so it will come after Gadgetoff. 4) I am sending you two articles: one about AQ Khan and the Hourglass initiative (on Huffington Post) and another write up on the Hourglassinitiative.org website. 5) If you need advice on the potential blowback of cha
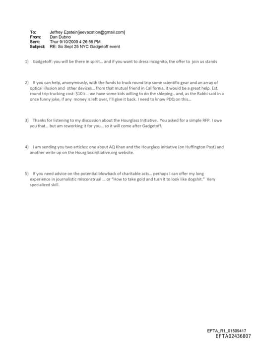
EFTA02436807
RFP. I owe you that... but am reworking it for you... so it will come after Gadgetoff. 4) I am sending you two articles: one about AQ Khan and the Hourglass initiative (on Huffington Post) and another write up on the Hourglassinitiative.org website. 5) If you need advice on the potential blowback of cha
EFTA02436882
RFP. I owe you that... but am reworking it for you... so it will come after Gadgetoff. 4) I am sending you two articles: one about AQ Khan and the Hourglass initiative (on Huffington Post) and another write up on the Hourglassinitiative.org website. EFTA_R1_01509518 EFTA02436883 5) If you need advice