6
Total Mentions
6
Documents
7
Connected Entities
Organization referenced in documents
EFTA00844160
finance on purchase price. he does not needs much more equity to get finance given the market value of NOK 18 mill. 3. for me; i will pay the bank NOK 4 mill and transfer the property at 14 mill. there is no gain for me. i will gain peace from this and the embarassment it has created. Best regards from M
EFTA02484648
finance on purchase price. he does not needs much more equity to get finance given the market value of NOK 18 mill. 3. for me; i will pay the bank NOK 4 mill and transfer the property at 14 mill. there is no gain for me. i will gain peace from this and the embarassment it has created. Best regards from M
EFTA02485049
finance on purchase price. he does not needs much more equity to get finance given the market =alue of NOK 18 mill. 3. for me; i will pay the bank NOK 4 mill and transfer the property=at 14 mill. there is no gain for me. i will gain peace from this and=the embarassment it has created. <=p> Best regar
EFTA02485201
finance on purchase price. he does not needs much more equity to get finance given the market value of NOK 18 mill. 3. for me; i will pay the bank NOK 4 mill and transfer the property at 14 mill. there is no gain for me. i will gain peace from this and the embarassment it has created. Best regards from M
EFTA02487848
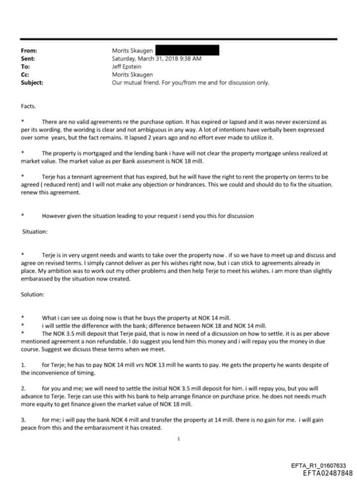
finance on purchase price. he does not needs much more equity to get finance given the market value of NOK 18 mill. 3. for me; i will pay the bank NOK 4 mill and transfer the property at 14 mill. there is no gain for me. i will gain peace from this and the embarassment it has created. EFTA_R1_01607633 E
EFTA02488108
finance on purchase price. he does no= needs much more equity to get finance given the market value of NOK 18 mill. 3. for me; i will pay the bank NOK 4 mill and transfer the property a= 14 mill. there is no gain for me. i will gain peace from this and t=e embarassment it has created. Best regards from M
Morits Skaugen
PersonNorwegian shipping magnate, appeared in Epstein contact book and social events

Terje Rod-Larsen
PersonNorwegian diplomat

Jeffrey Epstein
PersonAmerican sex offender and financier (1953–2019)
NOK 18
OrganizationOrganization referenced in documents

Norway
LocationCountry in Northern Europe
Kare I. Moljord
PersonPerson referenced in documents
Solli
PersonSurname reference in documents