5
Total Mentions
5
Documents
6
Connected Entities
Person referenced in documents
EFTA00688940
: Larry Visoski To: Je vacation <jeevacationggmail.com> Subject: Fwd: JEGE contract Date: Thu, 15 May 2014 13:07:11 +0000 Just received this from Larry Wright, who is Ashley's contact / broker. Sent from my iPhone Begin forwarded message: From: "Larry Wright_Gmail" < Date: May 15, 2014 at 8:58:51 AM EDT
EFTA00707241
arding changes to the contract, at this time, Darren as received no emails. here is Gary message: Larry, As I mentioned in my email this morning, Larry Wright called me at 10:00 pm last night after spending a great deal of time walking Ashley through the Purchase and Sale Agreement one section at a time.
EFTA00621009
6143 Steve $ 0 $ 0 0 41 RRCC 2015 2015 12 Swift 1 For Sale AFT Galley Varsano BroadBand - On Crew Rest (BBML) Market area 6110 Larry Wright $ $ 58,000,000 0.86 553 RRCC 2015 2015 16 Swift For Sale Forward 61,950,000 BroadBand - On Galley (BBML) Market Synthetic Vision 6
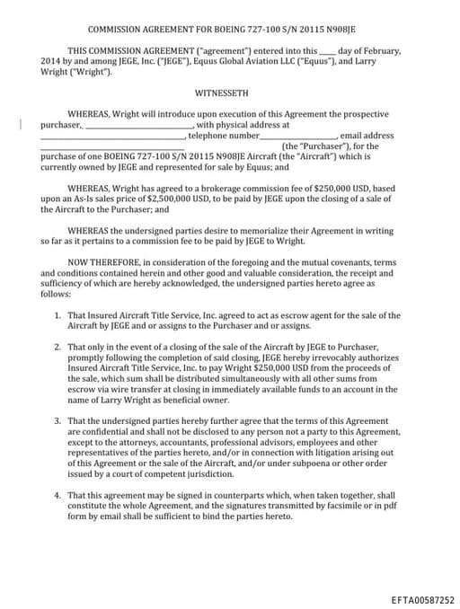
EFTA00587252
distributed simultaneously with all other sums from escrow via wire transfer at closing in immediately available funds to an account in the name of Larry Wright as beneficial owner. 3. That the undersigned parties hereby further agree that the terms of this Agreement are confidential and shall not be disclo
EFTA02396429
garding changes to the contract, at this time, Darren =s received no emails. here is Gary message: Larry, As = mentioned in my email this morning, Larry Wright called me at 10:00 pm la=t night after spending a great deal of time walking Ashley through the Pur=hase and Sale Agreement one section at a time.
Ashley
PersonFirst name reference to multiple individuals in Epstein documents

Jeffrey Epstein
PersonAmerican sex offender and financier (1953–2019)
Darren Indyke
PersonAmerican lawyer, longtime personal attorney and co-executor of Jeffrey Epstein's estate
Ashely
PersonName reference in documents
FLL Fort Lauderdale International
OrganizationOrganization referenced in documents
Excec
OrganizationOrganization referenced in documents