29
Total Mentions
29
Documents
34
Connected Entities
Organization referenced in documents
EFTA01282999
with Right of Survivorship O Joint Tenants in Common O in Trust For/Payable on Death/As Trustee for O Trust O Estate O Custody under NY UTMA O Foundation O Non-Profit Organization O Attorney Trust Escrow O Landlord Master Escrow O Corporation ID Limited Liability Company D Partnership O Limite
EFTA01282936
ess (if &Went) Name Addr City Stale Zip CI Je Elite Money Market Deposit Acct. APY Target Amount Trigger Amount ci Custody under NY UTMA O Foundation O Non-Profit Organization O Attorney Trust Escrow O Landlord Master Escrow 3 Corporation O limited Liability Comp: is/ O Partnership O Limit
EFTA01283021
s (if &Went) Name Addr City Stale Zip C. Je Elite Money Market Deposit Acct. N APY Target Amount Trigger Amount K Custody under NY UTMA O Foundation 0 K Non-Profit Organization Attorney Trust Escrow O Landlord Master Escrow 3 Corporation O limited Liability Comp: ity O Partnership O Limi
EFTA01282278
ess different) Name Addr City State Zi:rCodti Elite Money Market Deposit Acct. APY Target Amount Trigger Amount O Custody under NY UTMA O Foundation O Non-Profit Organization O Attorney Trust Escrow K Landlord Master Escrow O Corporation O Limited Liability C::mpany O Partnership O Limit
EFTA01283009
K Duplicate Statement Addr City State Zip Code O Mailing address Ill different) Name Addr City State Zip Code El Custody under NY UTMA O Foundation O Non-Profit Organization K Attorney Trust Escrow O Landlord Master Escrow O Corporation O Limited Liability Company O Partnership O Limite
EFTA01282987
(if different) Name Addr City Stato Zip Code Elite Money Market Deposit Acct. N APY Target Amount Trigger Amount O Custody under NY UTMA O Foundation O Non-Profit Organization O Attorney Trust Escrow Landlord Master Escrow El Corporation O Limited Liability Company O Partnership O Limited
EFTA01282930
c) Duplicate Statement Addr City State Zip Code O Mailing address Of different) Name Addr City State Zip Code El Custody under NY UTMA O Foundation Non-Profit Organization Attorney Trust Escrow O Landlord Master Escrow O Corporation O Limited Liability Company O Partnership O Limited Liab
EFTA01283003
(if different) Name Addr City State Zip Code Elite Money Market Deposit Acct. If APY Target Amount Trigger Amount D Custody under NY UTMA O Foundation O Non-Profit Organization O Attorney Trust Escrow K Landlord Master Escrow o Corporation o Limited Liability Company O Partnership K Limited
EFTA01282920
f different) Name Addr City State Zip Code Elite Money Market Deposit Acct. If APY Target Amount Trigger Amount o Custody under NV UTMA O Foundation K Non-Profit Organization O Attorney Trust Escrow O Landlord Master Escrow WV? S 3- S.- lig q 77O O Corporation O Limited Liability Compan
EFTA01283012
ate Zip Cede O Mailing address (if different) Elite Money Market Deposit Acct. II APY Target Amount Trigger Amount O Custody under NY UTMA O Foundation K Non-Profit Organization K Attorney Trust Escrow O Landlord Master Escrow Name Addr City State Zip Code 0 Corporation O Limited Liabil
EFTA01298370
(if different) Name Addr City State Zip Code Elite Money Market Deposit Acct. # APY Target Amount Trigger Amount K Custody under NY UTMA O Foundation O Non Profit Organization O Attorney Trust Escrow O Landlord Master Escrow PACcWNEMT O Corporation O Limited Liability Company O Partnership
EFTA00165558
s O Duplicate Statement Addr City State Lp Cock O Mailing address (If differ: nt) Name Addr City State Zip Cod. O Custody under NY UTMA O Foundation K Non-Profit Organization O Attorney Trust Escrow O Landlord Master Escrow O Corporation K Limited Liability Compai O Partnership O Limited
EFTA00165567
cliffs.: nt) Name Addr City State Zip Cod. Elite Money Market Deposit Acct. 8 APY Target Amount Trigger Amount O Custody under NY LfTMA O Foundation O Non-Profit Organization O Attorney Trust Escrow O Landlord Master Escrow O Corporation O Limited Liability Compel •••• O Partnership O Limi
EFTA00165640
ade Business Telephone Number Business Fax Number Other Number Legal Address Of afferent from mama 'daub City Client Relationship K onoretion O Foundation O Non-Profft Organization Private Wealth Premium" Elite Business Accounts O Cher:Wm Account O Checidng with Interest aoundation and Non-profit
EFTA00165626
p Coda D Mailing addregs I different) Name Addr Erne Money Market Deposit Acct. APY Target Amount Trigger Amount 0 Custody under NY UTMA O Foundation K Non.Prof it Organization O Attorney Trust Escrow O Landlord Master Escrow City State ZitrCodri O Corporation O Limited Liability C ny
EFTA00165671
(if different) Name Addr City State Zip Code Elite Money Market Deposit Acct. N APY Target Amount Trigger Amount O Custody under NY UTMA O Foundation K Non•Prolit Organization O Attorney Trust Escrow O Landlord Master Escrow O Corporation O Limited Liability Company O Partnership O Limited
EFTA00165683
e O Mailing address (if different) Name Addr Elite Money Market Deposit Acct. If APY Target Amount Trigger Amount O Custody under NY UTMA O Foundation O NoniProfit Organization O Attorney Trust Escrow O Landlord Master Escrow 1.1/4 City State Zip Code O Corporation O Limited Liability Comp
EFTA00165699
(if different) Name Addr City State Zip Code Elite Money Market Deposit Acct. I APY Target Amount Trigger Amount O Custody under NY UTMA O Foundation O Non-Profit Organization ci Attorney Trust Escrow O Landlord Master Escrow O Corporation O limited liability Company O Partnership O Limited
EFTA00165728
Coda D Mailing address ( I different) Name Addr Erne Money Market Deposit Acct. APY Target Amount Trigger Amount 0 Custody under NY UTMA O Foundation K Non.Prof it Organization O Attorney Trust Escrow O Landlord Master Escrow City State ZitrCodti O Corporation O Limited Liability C ny
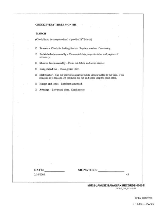
EFTA01325275
and housing. O Hot water heating system — Lubricate circulating pump and motor. O Wiring — Check for frayed cords and wires; repair if necessary. O Foundation — Check for cracks and moisture, repair if necessary. • Roof - Inspect roof surface; repair if necessary. • Gutters and downspout — Clean out, in
Deusche Bank Trust Company Americas (
OrganizationOrganization referenced in documents

Eric Holder
PersonUnited States Attorney General from 2009 to 2015
User/Co.
OrganizationOrganization referenced in documents
Joint Application Information
OrganizationOrganization referenced in documents
Non-Profit Organization
OrganizationOrganization referenced in documents
Trust For/Payable
OrganizationOrganization referenced in documents

Joi Ito
PersonJapanese-American activist, entrepreneur, and venture capitalist
Horne
LocationLocation referenced in documents
O Trust
OrganizationOrganization referenced in documents
Butterfly Trust
OrganizationTrust associated with Jeffrey Epstein
El Estate
OrganizationOrganization referenced in documents
Darren Indyke
PersonAmerican lawyer, longtime personal attorney and co-executor of Jeffrey Epstein's estate

George W. Bush
PersonPresident of the United States from 2001 to 2009
Eli Business Accounts
OrganizationOrganization referenced in documents
Ofeic
LocationLocation referenced in documents
Applicaton
PersonName reference in documents
K DB AG NY
OrganizationOrganization referenced in documents
Application Packer
OrganizationOrganization referenced in documents
iblel4
OrganizationOrganization referenced in documents

Jeffrey Epstein
PersonAmerican sex offender and financier (1953–2019)