3
Total Mentions
3
Documents
2
Connected Entities
Name reference in documents
EFTA00837941
come on board, fyi very few things on the two years old list of acutally got done. your 5 billion dollar operationis in the hands of Tom Turin , Rch joslin, and john castrucci. Art space , gift tax, brh, tra, sharehllders agreements 8865 , regan phaidon, art sales. art partbership; . trust distributio
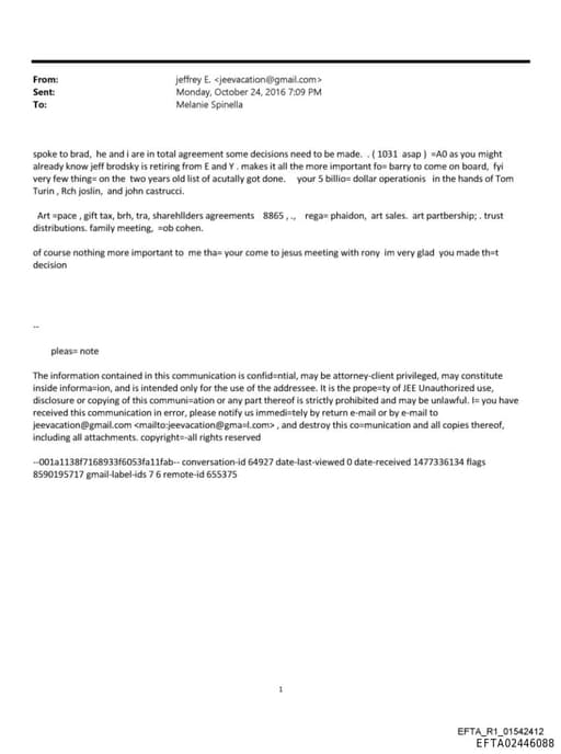
EFTA02446088
o come on board, fyi very few thing= on the two years old list of acutally got done. your 5 billio= dollar operationis in the hands of Tom Turin , Rch joslin, and john castrucci. Art =pace , gift tax, brh, tra, sharehllders agreements 8865 , rega= phaidon, art sales. art partbership; . trust distributio
EFTA02478056
o come on board, fyi very few thing= on the two years old list of acutally got done. your 5 billio= dollar operationis in the hands of Tom Turin , Rch joslin, and john castrucci. Art =pace , gift tax, brh, tra, sharehllders agreements 8865, ., rega= phaidon, art sales. art partbership; . trust distributi