6
Total Mentions
5
Documents
11
Connected Entities
Organization referenced in documents
EFTA00793114
jury, personal injury and property damage In an amount not less than 3300,000.00. An insurance binder evidencing such insurance must be provided to Longview Corporation at the closing. If you have any questions regarding the insurance coverage maintained by the Corporation, please let us know. It shall be the Buyer
er LLP 111 Huntington Avenue Boston, MA 02199 RE: Apartment 404 at 984 Memorial Drive, Cambridge, Massachusetts and 70 shares of Common Stock in Longview Corporation Dear Oentlepeople: As requested by the Lucian L. Leape and Martha P. Leape ("Seller"), the Board of Directors has approved Iho proposed transfer o
EFTA00666051
make sure that the apartment is ours to sell, unencumbered by any condition, and independent of the revocable trust. DPQ: Please provide me with all Longview Corporation documentation that I have requested, so that I can complete my analysis of this issue. EFTA00666052
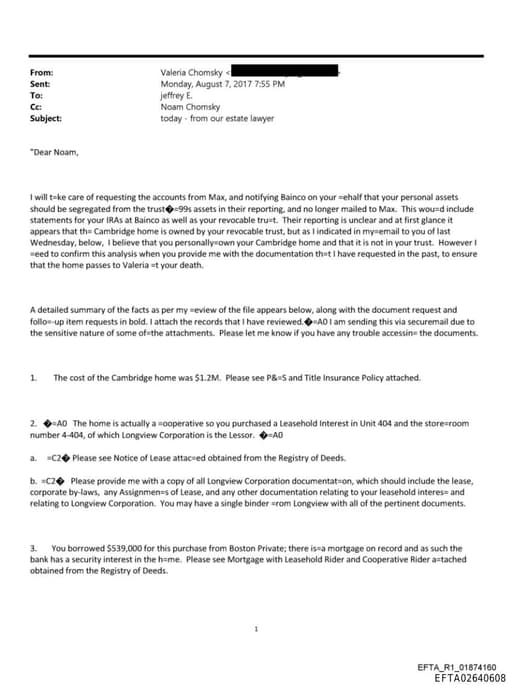
EFTA02640608
icy attached. 2. 40 The home is actually a =ooperative so you purchased a Leasehold Interest in Unit 404 and the store=room number 4-404, of which Longview Corporation is the Lessor. 0 a. 4> Please see Notice of Lease attac=ed obtained from the Registry of Deeds. b. 4> Please provide me with a copy of all Longvi
EFTA02640719
cy attached. 2= The h=me is actually a Cooperative so you purchased a Leasehold Interest in Unit=404 and the store room number 4-404, of which Longview Corporation is the =essor. a. Please see Notice of Lease attached obtained from=the Registry of Deeds. b. Please provide me with a copy of all Longvie= Corpo
EFTA02640787
olicy a=tached. 2. The home=is actually a Cooperative so you purchased a Leasehold Interest in Unit 40= and the store room number 4-404, of which Longview Corporation is the Les=or. a. Please see Notice of Lease attached obtained from the Registry of Deeds.<=span> b. Please prov=de me with a copy of all Longvi

Noam Chomsky
PersonAmerican linguist and activist (born 1928)

Valeria Chomsky
PersonBrazilian translator and linguist, wife of Noam Chomsky (married 2014)

Jeffrey Epstein
PersonAmerican sex offender and financier (1953–2019)
Longview
LocationLocation referenced in documents
Bainco
OrganizationFinancial services company

Tucson
LocationCity in and county seat of Pima County, Arizona, United States
Boston Private
OrganizationOrganization referenced in documents
the Registry of Deeds
OrganizationOrganization referenced in documents

Cooperative
OrganizationOrganization referenced in documents
the Carol S. Chomsky Exempt Marital Trust
OrganizationOrganization referenced in documents
a Leasehold Interest
OrganizationOrganization referenced in documents