21
Total Mentions
21
Documents
4
Connected Entities
Person referenced in documents
EFTA00631463
<[email protected]> Subject: Re: Date: Mon, 21 Aug 2017 11:13:12 +0000 Greetings Sir, Is there a particular time you would like to speak with David Mapp, or whenever I can get him on the phone for you? Respectfully, Daphne On Aug 19, 2017 8:15 PM, "Jeffrey E." <[email protected]> wrote: I wou
EFTA00631461
office around 1230 On Mon, Aug 21, 2017 at 7:13 AM, Daphne Wallace < wrote: Greetings Sic Is there a particular time you would like to speak with David Mapp, or whenever I can get him on the phone for you? Respectfully, Daphne On Aug 19, 2017 8:15 PM, "jeffrey E." jeevacation@prtn> wrote: I would lik
EFTA02220489
To: From: Subject Alert - Reminder: Jeffrey wants to speak with Ron Lauder, David Mapp and Erika August 21, 2017 7:00 AM : Reminder: Jeffrey wants to speak with Ron Lauder, David Mapp and Erika EFTA_R1_00993083 EFTA02220489
EFTA02220520
To: From: Subject Alert - Did Daph organize call with David Mapp for tomorrow? August 21, 2017 4:30 PM : Did Daph organize call with David Mapp for tomorrow? EFTA_R1_00958129 EFTA02220520
EFTA02220572
To: From: Subject Alert - did Daphne hear back from David Mapp? August 21, 2017 1:00 PM : did Daphne hear back from David Mapp? EFTA_R1_00956242 EFTA02220572
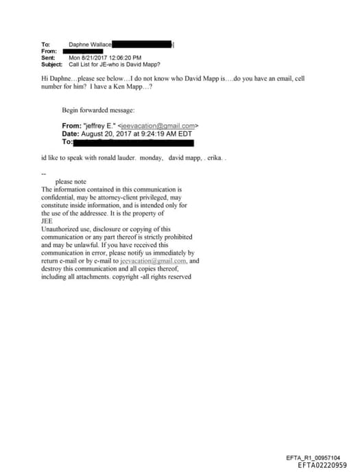
EFTA02220959
To: Daphne Wallace From: Sent Mon 8/21/2017 12:06:20 PM Subject Call List for JE-who is David Mapp? Hi Daphne...please see below...I do not know who David Mapp is....do you have an email, cell number for him? I have a Ken Mapp...? Begin forwarde
EFTA02220978
To: From: Subject Alert - Daph to organize call with David Mapp for today! August 22, 2017 6:30 AM Daph to organize call with David Mapp for today! EFTA_R1_00957147 EFTA02220978
EFTA02221081
To: Fran: Daphne Wallace Sent Mon 8/21/2017 12:11:10 PM Subject Re: Call List for JE-who is David Mapp? Greetings L, David Mapp is the Interim Director of the Virgin islands Port Authority. I will call his office this morning to set up a call for ar
EFTA02221172
To: Daphne Wallac From: Sent Mon 8/21/2017 12:12:24 PM Subject: Re: Call List for JE-who is David Mapp? Perfect! Thank you so much. I set up a 12pm call for him with Erika Kellerhals...do you think he will be in the office at that time or should I s
EFTA02221263
To: Daphne Wallace From: Lesley Groff Sent: Fri 8/25/2017 1:29:33 PM Subject David Mapp? Did Jeffrey ever speak with David Mapp? are we all done with this? :) EFTA_R1_00957740 EFTA02221263
EFTA02221297
s at 12:30-12-50 I will divert to a later time. On Aug 22, 2017 7:47 AM, wrote: HI Daphne...I know you are working on a time for a call today with David Mapp...wanted you to know JE has a cone call scheduled for 12:30pm for probably 15 min...so avoid this time please 0 Thanks • EFTA_R1_00957808 EFTA0
EFTA02221308
To: From: Daphne Wallace Sent Mon 8/21/2017 12:29:34 PM Subject: Re: Call List for JE-who is David Mapp? Greetings L, He told Anna he was heading to the office for 12. So 12:15 is probably a sure time for him to definitely be in the office. On Aug 2
EFTA02221425
12:30-12-50 I will divert to a later time. On Aug 22, 2017 7:47 AM, " wrote: HI Daphne...I know you are working on a time for a call today with David Mapp...wanted you to know JE has a conf. call scheduled for 12:30pm for probably 15 min...so avoid this time please ;) Thank EFTA_R1_00958025 EFTA0222
EFTA02221505
To: From: Sent Fri 8/25/2017 1:34:00 PM Subject: Re: David Mapp? Happy Friday He finally caught up with him and they spoke. Kind regards Daphne On Aug 25, 2017 9:29 AM, MiiiRaninli n.a wrote: Did Jeffrey eve
EFTA02221501
To: Da hne Wallace From: Sent Mon 8/21/2017 1:32:32 PM Subject Re: Call List for JE-who is David Mapp? Got it. Thx Sent from my iPhonc On Aug 21, 2017, at 8:29 AM, Daphne Wallace wrote: Greetings., He told Anna he was heading to the office for 1
EFTA02221528
a later time. On Aug 22, 2017 7:47 AM wrote: HI Daphne...1 know you are working on a time for a EFTA_R1_00958228 EFTA02221528 call today with David Mapp...wanted you to know JE has a conf. call scheduled for 12:30pm for probably 15 min...so avoid this time please ;) Thanks! EFTA_R1_00958229 EFTA0
EFTA02221566
To: Daphne Wallace From: Sent Fri 8/25/2017 1:34:31 PM Subject: Re: David Mapp? super! thanks! off the list On Aug 25, 2017, at 9:34 AM, Daphne Wallace wrote: Happy Friday He finally caught up with him and they spoke. Kind
EFTA02221983
To: From: Sent Mon 8/21/2017 6:15:11 PM Subject Msg Rec'd Re Call w/David Mapp! Hi Daphne-thank you for the message re changing the call with David Mapp to tomorrow... EFTA_R1_00959227 EFTA02221983
EFTA02603520
se a material call=d Top (tuff) coat that is not as strong and only has a 2.5 year warranty</=iv> i have a call today a= 1pm with daphne and VIPA / David Mapp to discuss next steps - daphne says=they are pushing to have entire roof redone.. i did not realize =hat we are only approximately 30% of roof so c
EFTA02342686
Sent: Monday, August 21, 2017 11:13 AM To: Jeffrey Epstein Subject: Re: Greetings Sir, Is there a particular time you would like to speak with David Mapp, or w=enever I can get him on the phone for you? Respectfully, Daphne On Aug 19, 2017 8:15 PM, "Jeffrey E." <[email protected]> wrote: = woul
Daphne Wallace
PersonJeffrey Epstein's property manager and associate; managed Little St James island operations; named in Epstein's will

Jeffrey Epstein
PersonAmerican sex offender and financier (1953–2019)

Port Authority
OrganizationSpanish Port authority
Erika Kellerhals
PersonU.S. Virgin Islands tax attorney who served as Jeffrey Epstein's corporate and international tax lawyer