12
Total Mentions
12
Documents
10
Connected Entities
Person referenced in documents
EFTA00400756
you bet On Nov 28, 2012, at 2:02 PM, wrote: Thanks Lesley On Wed, Nov 28, 2012 at 9:50 AM, Lesley Groff < > wrote: Just an FYI that this guy, Jim McGee, will be on the USVI Dec. 6-11...Jeffrey has me putting this in his calendar...at the time being JE is not going to LSJ until Dec. 14...but wanted t
EFTA00749440
, 2010 10:56:34 AM Subject: Re: Meeting Let's talk later Sent from my iPhone On Jun 8, 2010, at 10:30 AM, Cecile de Jongh <1 Jeffrey, > wrote: Jim McGee won't be able to fly down to meet with you tomorrow. He would like to meet with you on your next visit. Cecile DISCLAIMER: The information contain
EFTA00442893
5:00 as possible will allow me to make it to the other Event on time If an earlier time during the day opens up please let me know Thank you again Jim McGee Original Messa From: Lesley Groff Sent: Wednesday, January 1 , 2017 7: 1 AM To: James P. McGee < Subject: Jeffrey Epstein Good morning James
EFTA00443175
ossible will allow me to make it to the other Event on time > If an earlier time during the day opens up please let me know > • Thank you again > Jim McGee • Original Message > From: Lesley Groff [mailto: > Sent: Wednesday, January 18, 2017 7:21 AM > To: James P. McGee •z: > > Subject: Jeffrey Epst
EFTA00668490
ime to discuss the next steps in the overall development process for your campaign. Until then, I want to wish you a Happy and Prosperous New Year! Jim McGee EFTA00668491
EFTA00671560
ld be of help to you and your campaign team. We look forward to hearing from you and / or the designated members of your campaign team. Thank you, Jim McGee From: Jeffrey Epstein [mailto: Sent: Wednesday, November 21, 2012 3:42 PM To: Mohammed Hassan; James P. McGee Subject: mr president. please have
EFTA02413101
To: [email protected] From: Cecile de Jongh Sent: Mon 6/7/2010 7:53:17 PM Subject: Meeting What time can you see Jim McGee and Sebstiano Paiewonsky on Wed? DISCLAIMER: The information contained in this e-mail may be privileged,confidential, and protected from disclosure
EFTA02413116
To: Lesley Grof Cc: [email protected]] From: Cecile de Jongh Sent: Tue 6/8/2010 2:30:16 PM Staled: Meeting Jeffrey, Jim McGee won't be able to fly down to meet with you tomorrow. He would like to meet with you on your next visit. Cecile DISCLAIMER: The information contain
EFTA02413163
Sen : u , u , . . Subject: Re: Meeting Let's talk later Sent from my iPhonc On Jun 8, 2010, at 10:30 AM, Cecile de Jongh < Jeffrey, wrote: Jim McGee won't be able to fly down to meet with you tomorrow. He would like to meet with you on your next visit. Cecile DISCLAIMER: The information contain
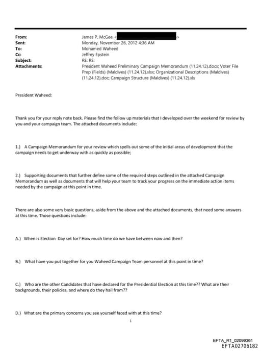
EFTA02706182
yourself faced with at this time? EFTA_R1_02099361 EFTA02706182 Please review the above and the attached and get back to me at your convenience. Jim McGee From: Mohamed Waheed Sent: Saturday, November 24, 2012 2:47 AM To: James P. McGee Cc: Jeffrey Epstein Subject: Re: RE: Jim, Thank you for your
EFTA02423103
To: Jeffrey Epsteinueevacation@gmailcom] From: Lesley Groff Sent Mon 8/23/2010 8:20:08 PM Subject: Jim McGee Please call Jim McGee at your convenience. He said it is not a rush Home office Cell: EFTA_R1_01490010 EFTA02423103
EFTA02661740
From: Lesley Groff Sent: Friday, February 10, 2017 7:45 PM To: Jefffrey Epstein Subject: Jim McGee Jim McGee returned your phone call Sent from my iPhone <?xml version="1.0" encoding="UTF-8"?> <!DOCTYPE plist PUBLIC "-//Apple//DTD PLIST 1.0//EN

Jeffrey Epstein
PersonAmerican sex offender and financier (1953–2019)
James P. McGee
PersonPerson referenced in documents

Lesley Groff
PersonExecutive assistant to Jeffrey Epstein (2001-2019)
Cecile de Jongh
PersonFormer First Lady of the U.S. Virgin Islands, managed Epstein's USVI-based companies

Waheed
PersonBritish media entrepreneur and politician (born 1964)

Hassan
PersonFirst name reference to multiple individuals in Epstein-related documents

Maldives
LocationCountry in the Indian Ocean

U.S. Virgin Islands
LocationUnincorporated territory of the United States of America
Mohammed Hassan
PersonPerson referenced in documents
Ismail Shafeeu
PersonName reference in documents