2
Total Mentions
2
Documents
3
Connected Entities
Organization referenced in documents
EFTA00725604
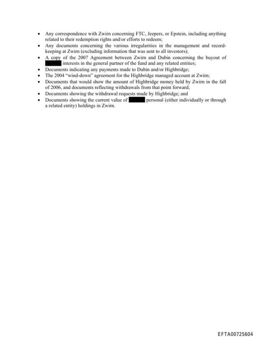
Dubin concerning the buyout of interests in the general partner of the fund and any related entities; • Documents indicating any payments made to Dubin and/or Highbridge; • The 2004 "wind-down" agreement for the Highbridge managed account at Zwirn; • Documents that would show the amount of Highbridge money held by
EFTA00731201
where BSSC (Bear Steams's subsidiary) or Bear Steams itself acted as Josephthal's agent . . .") Thus depending on the claim Jeepers brings against Dubin and/or Highbridge, such claim may or may not have been released under the Settlement Agreement. More specifically, should Jeepers wish to bring a fraud or negligent