12
Total Mentions
12
Documents
890
Connected Entities
Location referenced in documents
EFTA00136050
Change Communist Party. • Trump And Putin Discuss Coronavirus, Arms Control. • US Accuses Russia Of Testing Anti-Satellite Weapon In Space. • US, Baltic States Oppose Russian "Rewriting Of History." • Greece Vows To Do "Whatever Necessary" In Dispute With Turkey. • South Sudanese Dissent Claims Kiir Ordere
EFTA00149896
Change Communist Party. • Trump And Putin Discuss Coronavirus, Arms Control. • US Accuses Russia Of Testing Anti-Satellite Weapon In Space. • US, Baltic States Oppose Russian "Rewriting Of History." • Greece Vows To Do "Whatever Necessary" In Dispute With Turkey. • South Sudanese Dissent Claims Kiir Ordere
EFTA00162722
stern Europe: OPA - Reuters requested an interview with an FBI official based in Europe about possible sanction breaches and money laundering In the Baltic States involving money from Russia and former Soviet states. OPA declined the interview. • Butina: OPA/WFO - A reporter asked if the FBI apologized to Mar
EFTA00724756
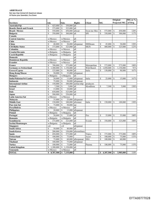
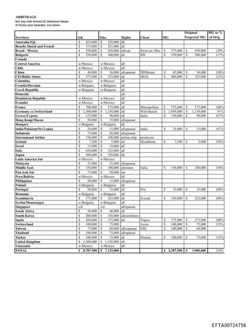
tral America w/Mexico w/Mexico all Chile w/Mexico w/Mexico all China S 40,000 S 30,000 allxpansal DDDream S 45,000 S 30,000 150% CIS/Baltic States S 375,000 S 325,000 all MGN S 400,000 S 325,000 123% Colombia w/Mexico w/Mexico all Croatia/Slovania w/Bulgaria w/Bulgaria all Czech
EFTA00777028
tral America w/Mexico w/Mexico all Chile w/Mexico w/Mexico all China S 40,000 S 30,000 allxpansal DDDream S 45,000 S 30,000 150% CIS/Baltic States S 375,000 S 325,000 all MGN S 400,000 S 325,000 123% Colombia w/Mexico w/Mexico all Croatia/Slovania w/Bulgaria w/Bulgaria all Czech
EFTA00853147
New York Times because I feel that this is beyond reckless and dangerous — The Pentagon is considering positioning heavy weaponry and equipment in Baltic States and Eastern Europe to support training with regional allies, officials said Saturday, a move that could heighten tensions with Russia over the confl
EFTA01658113
Change Communist Party. • Trump And Putin Discuss Coronavirus, Arms Control. • US Accuses Russia Of Testing Anti-Satellite Weapon In Space. • US, Baltic States Oppose Russian "Rewriting Of History." • Greece Vows To Do "Whatever Necessary" In Dispute With Turkey. • South Sudanese Dissent Claims Kiir Ordere
EFTA01736182
0,000 5 450,000 allxsat Swen inc Mcx S 575,000 $ 450,000 128% France S 700.000 S 575.000 all Metropolitan S 575.000 5 575.000 100% CIS/Baltic States S 375.000 S 325.000 all MGN S 400.000 S 325.000 123% Spain S 450.000 S 375,000 all Tripics S 375.000 S 375.000 100% Bulgaria S 35
EFTA02685320
0,000 5 450,000 allxsat Swen inc Mcx S 575,000 $ 450,000 128% France S 700.000 S 575.000 all Metropolitan S 575.000 5 575.000 100% CIS/Baltic States S 375.000 S 325.000 all MGN S 400.000 S 325.000 123% Spain S 450.000 S 375,000 all Tripics S 375.000 S 375.000 100% Bulgaria S 35
EFTA02685312
ateral Required Advance Payments 29 Closing Rate Financed Airlines 180 Australia TBD Benelux 113D Brazil Swim Eastern Europe SPI CIS/Baltic States MGN Franca Metropolitan Germany/Austria Wed Bunch Greece Italia Italy 780 Japan TBD Mexico/Lai Arn/Cen Am W/Brazfl Middle East Italia
EFTA02685294
East Italia $100,000 $150,000 Bulgaria SPI $300,000 $350,000 Scandinavia Svensk $325,000 $350,000 Spain Triples $375,000 $375 000 CIS/Baltic States MGN $325,000 5400,000 Brazil / Mexico Swen inc Mex $450,000 $575,000 France Metropolitan $575,000 $575,000 German ex Switzerland Wild Bu
EFTA02669765
scourse he chose, and, even if he changes his tone, he has let loose a s=orm. We will brace ourselves over here for Putin's eventual takeover of the=Baltic States. Putin has extended his power back into Republic of Georgia, t=e Crimea, and Armenia. Trump has said that he would not come to the aid of N=to allie
Courtney Wild
PersonAmerican victim/survivor of Jeffrey Epstein who led legal battle for victims' rights

Ireland
Location
Bulgaria
LocationCountry in Southeast Europe
Eva Green
PersonPerson referenced in documents

Scandinavia
LocationRegion in Northern Europe

Italy
LocationCountry in Southern Europe

Romania
LocationCountry in Southeast Europe

Venezuela
LocationCountry in South America

Chile
LocationCountry in South America

Cyprus
LocationMediterranean island country in West Asia

Jeffrey Epstein
PersonAmerican sex offender and financier (1953–2019)

Donald Trump
PersonPresident of the United States (2017–2021, 2025–present)

Vladimir Putin
Person2nd and 4th President of Russia (2000-2008, 2012-present), 7th and 11th Prime Minister of Russia (1999-2000, 2008-2012), Director of the Federal Security Service (1998-1999) and Deputy Mayor of Saint Petersburg (1994-1996)

Malaysia
LocationCountry in Southeast Asia

Hungary
LocationCountry in Central Europe

United Kingdom
LocationCountry in north-west Europe

Charleston
LocationLargest city in the U.S. state of South Carolina

Vicky Ward
PersonBritish investigative journalist

Serbia
LocationCountry in Southeast Europe
Tripics
OrganizationOrganization referenced in documents