69
Total Mentions
61
Documents
92
Connected Entities
Organization referenced in documents
EFTA00621916
/ Jeffrey Epstein Dear Vince: I am in receipt of your letter dated October 9, 2012. Four weeks ago, Mr. Epstein made a good faith offer to pay Mr. Sitrick's firm a substantial sum of $25,000 to resolve this matter amicably, notwithstanding the fact that the parties never reached an agreement regarding
ON October 15, 2012 VIA E-MAIL Vincent S. Green, Esq. NEMECEK COLE 15260 Ventura Boulevard, Suite 920 Sherman Oaks, California 91403-5344 Re: Sitrick and Company / Jeffrey Epstein Dear Vince: I am in receipt of your letter dated October 9, 2012. Four weeks ago, Mr. Epstein made a good faith offe
ein, Mr. Epstein will pursue all of his remedies in this matter, including without limitation all appropriate equitable and monetary relief against Sitrick for violations of Mr. Epstein's privileges and rights. Mr. Epstein's pursuit of such remedies would undoubtedly expose to public scrutiny Mr. Sitri
EFTA00584325
agreements. Unanimously signed writing required for all amendments and modifications. 12. K&E not responsible for any fees, costs or expenses of Sitrick. EFTA00584326
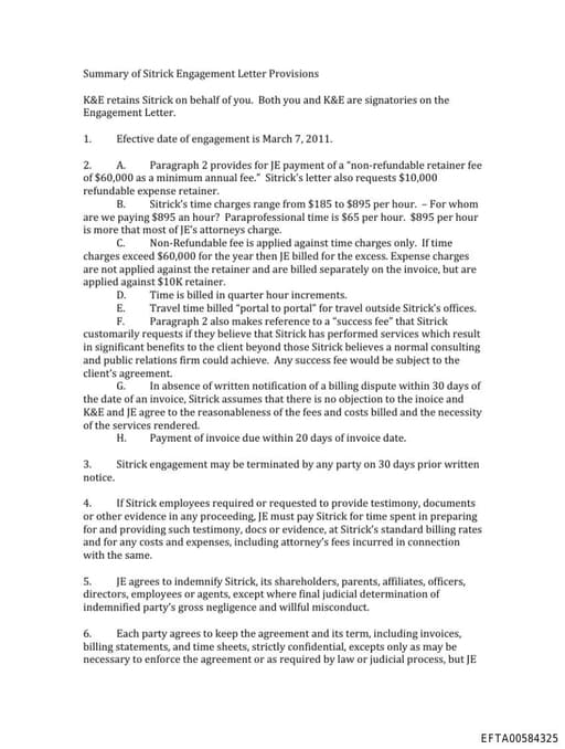
Summary of Sitrick Engagement Letter Provisions K&E retains Sitrick on behalf of you. Both you and K&E are signatories on the Engagement Letter. 1. Elective date of engagement is March 7, 2011. 2. A. Paragraph 2
but are applied against $10K retainer. D. Time is billed in quarter hour increments. E. Travel time billed "portal to portal" for travel outside Sitrick's offices. F. Paragraph 2 also makes reference to a "success fee" that Sitrick customarily requests if they believe that Sitrick has performed ser
EFTA02513534
From: Lesley Groff MIla Sent: Friday, January 23, 2015 12:30 PM To: Jeffrey Epstein CC Subject: Reminder. dates for Sitrick depo Reminder Chester is hoping to get 3 dates from you in April for the Sitrick d=po. You responded "April" but did you want to give exact days in
15 12:30 PM To: Jeffrey Epstein CC Subject: Reminder. dates for Sitrick depo Reminder Chester is hoping to get 3 dates from you in April for the Sitrick d=po. You responded "April" but did you want to give exact days in April? Sent from my iPhone=?xml version=.0" encoding=TF-8"?> <IDOCTYPE plist PUB
EFTA00506812
8.aff4/Macintosh HD Path /Users/jee/Library/Application Support/AddressBook/AddressBook-v22.abcddb SourceType Mac AddressBook First Mike Last Sitrick Email (Work) EIMINIMINIM Creation Date 2012-02-01 16:53:55 (UTC) Modification Date 2014-11-06 18:07:16 (UTC) ID 1601 Source Device Path Cont
e Device NYC024328.aff4/Macintosh HD Path /Users/jee/Library/Application Support/Skype/jeevacation/main.db SourceType Skype First Michael Last Sitrick ID 90678 Contact Source Device NYC024328.aff4/Macintosh HD Path /Users/jee/Library/Application Support/AddressBook/Sources/01634A06-3F78-47EC-B
EFTA00604145
489.003 July 9, 2012 Stephen G. Rinehart, Esq. Troutman & Sanders, LLP The Chyrsler Building 405 Lexington Avenue New York, NY 10174-0700 Re: Sitrick and Company v. Jeffrey Epstein AAA Reference No. 72 147218 12 SIM Dear Mr. Rinehart: VIA EMAIL ONLY As we have informed AAA, we are preparing to
K ACCOUNT; AND (6) QUANTUM MERUIT DEMAND FOR JURY TRIAL Plaintiff, SITRICK and COMPANY, a division of SITRICK BRINCKO GROUP, LLC ("Plaintiff' or "Sitrick") complains and alleges as follows: GENERAL ALLEGATIONS 1. Plaintiff is, and at all times herein mentioned was, a limited liability company organ
EFTA00353525
or you as well...get this off your plate. He is asking if you could please give him 3 dates in February that would work for the '30 minute or less' Sitrick depo at Kellerhals office... EFTA00353525
E." <[email protected]> Subject: Chester Brewer Date: Fri, 23 Jan 2015 15:21:22 +0000 Chester has spoken with Mr. Schinder who represents the Sitrick guy...Mr. Schinder is asking if there is any way you could do the deposition in February...anytime in Feb. that is good for you...but apparently th
EFTA00354438
4:20 +0000 i thought it was skype. 26 On Thu, Jan 8, 2015 at 4:20 PM, wrote: Chester Brewer needs to coordinate a date for your deposition in the Sitrick mess...he says you can do it at your office on STI' or at Erika Kellerhals office if you like...the dates available are March I7-26...might you be
EFTA00354440
PM EST To: i thought it was skype. 26 On Thu, Jan 8, 2015 at 4:20 PM, wrote: Chester Brewer needs to coordinate a date for your deposition in the Sitrick mess...he says you can do it at your office on STT or at Erika Kellerhals office if you like...the dates available are March I7-26...might you be a
EFTA00352449
erein. >>> >>> >>> >>> >>> >>> >» on 2/4/15 2:11 PM, "Lesley Groff" C wrote: >>> >>>> Hi Erika...Jeffrey needs to take a deposition for the Sitrick case he »» is >>>> involved in on Feb. 25th at 2pm STT time...I'm thinking you are >>» probably >>>> aware of this? Chet Brewer is representing h
EFTA00354445
On Fri, Jan 9, 2015 at 9:25 AM, > wrote: Reminder: Chester Brewer is asking for the address of where you would like to take the deposition for the Sitrick case. Would you like me to provide him with the STC address? please note The information contained in this communication is confidential, may be a
EFTA00354444
po Date: Fri, 09 Jan 2015 13:25:37 +0000 Reminder: Chester Brewer is asking for the address of where you would like to take the deposition for the Sitrick case. Would you like me to provide him with the STC address? EFTA00354444
EFTA00354448
ng Chester...you are missing out on lots of snow up here in CT!! (In NY too, but I am working from home today) Jeffrey says he would like to do the Sitrick deposition in Erika Kellerhals office on St.Thomas. Her address is: Erika Kellerhals Did you hear back if March 26th will be a good date? ...or ma
EFTA00354441
om> wrote: i thought it was skype. 26 On Thu, Jan 8, 2015 at 4:20 PM, wrote: Chester Brewer needs to coordinate a date for your deposition in the Sitrick mess...he says you can do it at your office on STT or at Erika Kellerhals office if you like...the dates available are March I7-26...might you be a
EFTA00354450
ng Chester...you are missing out on lots of snow up here in CT!! (In NY too, but I am working from home today) Jeffrey says he would like to do the Sitrick deposition in Erika Kellerhals office on St.Thomas. Her address is: Erika Kellerhals Did you hear back if March 26th will be a good date? ...or may
EFTA00354451
ng Chester...you are missing out on lots of snow up here in CT!! (In NY too, but I am working from home today) Jeffrey says he would like to do the Sitrick deposition in Erika Kellerhals office on St.Thomas. Her address is: Erika Kellerhals (340) 779-2564 Did you hear back if March 26th will be a good
EFTA00353687
Subject: Chester Brewer Date: Wed, 28 Jan 2015 16:20:43 +0000 Chester Brewer is following up to see if you could give him 3 dates in Feb. for the Sitrick depo...he says this guy is not going to give up...Chester does recommend just getting it over with. Would you like to give 3 dates in Feb. that wo
EFTA00312716
/11 Jay P Lefkowitz. III. 2.00 Telephone conferences with M. 3/09/11 Jay P Lefkowitz. III. 1.50 Weinberg and team; work on press issues: review Sitrick's draft and respond to it. Follow up on M. Weinberg's plan re 3/11/11 Jay P Lefkowitz. III. 2.50 UK experts: work on press issues. Research con
EFTA00311151
5 North Palm A Floor, Fresno C 7 telephone. facsando: ;menet littplivnyw.adr.orst @nit\ Arcyta 341 )-otol, dAeLSE-9 Re: 72 147 00218 12 SIM Sitrick and Company, a division of Sitrick Brincko Group, LLC VS Jeffrey Epstein Dear Parties: In accordance with the Rules, the Association encloses a
EFTA00589586
evard, Suite 920 Sherman Oaks, CA 91403 Stephen G. Rinehart Troutman Sanders LLP 405 Lexington Ave. New York, NY 10174 Re: 72 147 00218 12 SIM Sitrick and Company, a division of Sitrick Brincko Group, LLC VS Jeffrey Epstein Dear Parties: Jeffrey Garcia, Vice President Western Case Management C
EFTA00354439
From: ==la To: Chester Brewer <a Subject: Jeffrey Epstein Date: Thu, 08 Jan 2015 20:26:41 +0000 Hi Chester...Jeffrey can do March 26th for the Sitrick deposition...he says he thought it was by Skype though...is this true? thanks! Assistant to Jeffrey Epstein EFTA00354439

Jeffrey Epstein
PersonAmerican sex offender and financier (1953–2019)
Chester
LocationCity in New Jersey

Lesley Groff
PersonExecutive assistant to Jeffrey Epstein (2001-2019)
Erika Kellerhals
PersonU.S. Virgin Islands tax attorney who served as Jeffrey Epstein's corporate and international tax lawyer
Darren Indyke
PersonAmerican lawyer, longtime personal attorney and co-executor of Jeffrey Epstein's estate
Chester Brewer
PersonPerson referenced in documents

George W. Bush
PersonPresident of the United States from 2001 to 2009
Chet Brewer
PersonPerson referenced in documents
Sherman Oaks
LocationLocation referenced in documents

Central Park
LocationPublic park at the center of Manhattan in New York City, New York, United States

Prince Andrew
PersonThird child of Queen Elizabeth II and Prince Philip, Duke of Edinburgh (born 1960)

Wilbur Ross
PersonUnited States 39th Secretary of Commerce

Stephen Hawking
PersonBritish theoretical physicist, cosmologist and author (1942–2018)

Sarah Ferguson
PersonBritish writer, charity patron, public speaker, film producer and television personality, and former duchess of York

Bernie Sanders
PersonUnited States Senator from Vermont since 2007

St.Thomas
LocationNER extraction error. St. Thomas, US Virgin Islands - location of Epstein properties. Misclassified as PERSON.

Marc Rich
PersonAmerican commodities trader (1934–2013)
Leon Black
PersonAmerican billionaire businessman (born 1951)

Prince Charles
PersonKing of the United Kingdom and other Commonwealth realms since 2022 (born 1948)

Harvey Weinstein
PersonAmerican film producer and sex offender (born 1952)