8
Total Mentions
8
Documents
98
Connected Entities
Organization referenced in documents
EFTA00583557
ain circumstances, payments could be made to our managing partners and contributing partners under the tax receivable agreement in excess of 85% of APO Corp.'s actual cash tax savings. In general, estimating the amount of payments that may be made to our managing partners and contributing partners under th
EFTA00595692
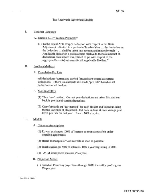
5/21/14 Tax Receivable Agreement Models I. Contract Language A. Section 3.03 "Pro Rata Payments" (1) To the extent APO Corp.'s deduction with respect to the Basis Adjustment is limited in a particular Taxable Year ... the limitation on the deduction ... shall be taken into
EFTA00621102
mputed under Section 1272, 1274 or 483 or other provision of the Code and any similar provision of state, local and foreign tax law with respect to APO Corp.'s payment obligations under this Agreement. "Initial Sale" is defined in the Recitals of this Agreement. "Issuer" means Apollo Global Management, LLC
EFTA00624765
e to APO Corp. from any Partnership in which APO Corp. owns 'an interest using the same methods, elections,conventions and similar practices used on APO Corp.'s Return, but calculated using the Non—Stepped Up Tax Basis instead of the tax basis of the Original Assets and excluding any deduction attributable
EFTA00623392_sub_001 - EFTA00623392_100
on, the tax receivable agreement provides that, upon a merger. asset sale or other form of business combination or certain other changes of control. APO Corp.'s (or its successor's) obligations with respect to exchanged or acquired units (whether exchanged or acquired before or after such change of control)
EFTA00623392_sub_003 - EFTA00623392_300
tain circumstances. payments could be made to our managing partners and contributing partners under the tax receivable agreement in excess of 85% of APO Corp.'s actual cash tax savings. In general. estimating the amount of payments that may be made to our managing partners and contributing partners under the
EFTA00613223_sub_001 - EFTA00613223_100
m the portion of our business that we hold through APO Corp. will be subject to U.S. Federal corporate income tax and other taxes. As the holder of APO Corp.'s shares, we will not be taxed directly on earnings of entities we hold through APO Corp. Distributions of cash or other property that APO Corp. pays
EFTA00613223_sub_002 - EFTA00613223_143
m the portion of our business that we hold through APO Corp. will be subject to U.S. Federal corporate income tax and other taxes. As the holder of APO Corp.'s shares, we will not be taxed directly on earnings of entities we hold through APO Corp. Distributions of cash or other property that APO Corp. pays
Leon Black
PersonAmerican billionaire businessman (born 1951)

Eric Holder
PersonUnited States Attorney General from 2009 to 2015

Holdings
OrganizationAeronautic procedure
Cayman
LocationBritish Overseas Territory in the Caribbean
the Apollo Operating Group
OrganizationOrganization referenced in documents
AGM Management
OrganizationOrganization referenced in documents

Apollo Global Management
OrganizationAmerican private equity firm
Carried Interest
OrganizationOrganization referenced in documents
APO Asset Co.. LLC
OrganizationOrganization referenced in documents

United States
LocationCountry located primarily in North America
Apollo Commercial Real Estate Finance, Inc.
OrganizationOrganization referenced in documents

Bermuda
LocationBritish overseas territory in the North Atlantic Ocean

Cayman Islands
LocationBritish Overseas Territory in the Caribbean
Apollo Principal
OrganizationOrganization referenced in documents
Weiss
PersonAmerican multinational white-shoe law firm headquartered in New York City
AMH Holdings
OrganizationOrganization referenced in documents
the Private Offering Transactions
OrganizationOrganization referenced in documents

Rowan
PersonReference to Marc Rowan, Apollo Global co-founder

Oliver Stone
PersonAmerican film director, screenwriter, and producer (born 1946)
Apollo Residential Mortgage, Inc.
OrganizationOrganization referenced in documents