14
Total Mentions
14
Documents
42
Connected Entities
Organization referenced in documents
EFTA00236793
ct mrsuant to Section 310:1) cc 3C:(7i thereof This Massy Application Form, induding the Subscription Agreement and the Funts Amended and Restated Limited Liability Company Agreement Any is itterest such a the right so share gains and losses This does not include the receipt of a management or performance fee for operating a
EFTA00237385
dvisor FINRA Fund Agreement Fund Parties This Investor Apparition Form, including the Subscription Agreement and the Funds Amended and Restated Limited Liability Company Agreement Any economic edema such a the right to share gains and losses. This does not include the receipt of a management or performance lee for operating
EFTA00583477
ship interest in AYH (the "Membership Interest Purchase Agreement"); WHEREAS, Epstein, IGYF and AYH entered into that certain Amended and Restated Limited Liability Company Agreement of AYH dated as of May 29, 2007 (the "LLC Agreement"). WHEREAS, Epstein,-Farkas IGYF and AYH have a dispute (the "Dispute") regarding, among other
EFTA00657635
"Membership Interest Purchase Agreement" in May, 2007 (there is no day on the document., just month and year). You signed the "Amended and Restated Limited Liability Company Agreement" on May 29, 2007. With warm regards, Cecile DISCLAIMER: The information contained in this e-mail may be privileged,confidential, and protected fro
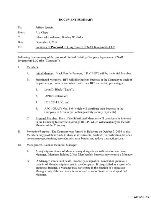
EFTA00699197
son, Bradley Wechsler Date: December 5, 2014 Re: Summary of Proposed LLC Agreement of NAR Investments LLC Following is a summary of the proposed Limited Liability Company Agreement of NAR Investments LLC (the "Company"). I. Members. A. Initial Member. Black Family Partners, L.P. ("BFP") will be the initial Member. B. Substi
EFTA00727138
. The definitive documentation memorializing the terms of the investment contemplated by this Term Sheet shall include a Subscription Agreement, a Limited Liability Company Agreement and related agreements (the "Definitive Documents"). The Investors will submit an initial draft of the Definitive Documents as soon as practicable
EFTA00773802
s a sununaty of certain of key tenns of an investment in C3 Acquisition Co. LLC only and is qualified in its entirety by reference to the company's Limited Liability Company Agreement. The Company C3 Acquisition Co. LLC, a Delaware limited liability company (the "Company"). Purpose To fund the costs of pursuing an acquisition
EFTA00307934
company ("CCPM LLC; and CCP LP and CCPM LLC, collectively, the "Corbin Entities"). CCPM LLC is governed by that certain Second Amended and Restated Limited Liability Company Agreement, dated as of May 1, 2007 (as the same may from time to time be amended, or amended and restated, and in effect, the "CCPM LLC Agreement'). Corbin C
EFTA00584237
TO LIMITED LIABILITY COMPANY AGREEMENT OF B.R. GUEST PARENT HOLDINGS, LLC This Assignment of Limited Liability Company Interest and Amendment to Limited Liability Company Agreement of B.R. GUEST PARENT HOLDINGS, LLC. a, dated as of , 2013 (this "Assignment and Amendment Agreement"), is entered into by and among SOF U.S. RES
EFTA01365387
ity or Regulation S Global Security. "Governing Documents". With respect to (a) the Issuer, its Memorandum and Articles and (b) the Co-Issuer, its Limited Liability Company Agreement, in each case as originally executed and as supplemented, amended and restated from time to time in accordance with their terms. "Grant": To grant
EFTA01382558
s, Inc. and Sharon Allen 10.2T— Letter Agreement, dated September 21, 2015, between Albertsons Companies, Inc. and Steven A. Davis 10.23" Form of Limited Liability Company Agreement of Albertson Investor Holdings LLC, by and among Cerberus Iceberg LLC, Cerberus Capital Management, L.P., Jubilee ABS Holding LLC, Klaff Markets Hol
EFTA02677517
company (the "Company") and Stephen P. Hanson (the "Executive'). WITNESSETH: WHEREAS, the Company is governed by that certain Amended and Restated Limited Liability Company Agreement, dated as of February; 3_, 2007, among the Compit, the Executive, B R Guest, Inc. and SOF U.S. Restaurant Co-Invest Holdings, L.L,C. (as the same m
EFTA00623392_sub_004 - EFTA00623392_324
son. regulatory body or other entity other than Silverman or Apollo. including, without limitation, any such rights under AGM's Amended and Restated Limited Liability Company Agreement. 13. Silverman agrees to cooperate in good faith and comply with and respond to requests from or inquiries by Apollo for assistance and information
EFTA00237405_sub_001 - EFTA00237405_100
AlphaKeys European Real Estate Opportunities Fund ll, C.L.C. (the "AlohaKevs Fund"). This summary is qualified in its entirety by reference to the Limited Liability Company Agreement of the AlphaKeys Fund (as amended from time to time, the "L(C Agreement") and the investor application (the "Investor Application"), both of which s

George W. Bush
PersonPresident of the United States from 2001 to 2009

Prince Andrew
PersonThird child of Queen Elizabeth II and Prince Philip, Duke of Edinburgh (born 1960)
the State of New York
LocationState in the northeastern United States

the U.S. Treasury Department
OrganizationOrganization referenced in documents

United States
LocationCountry located primarily in North America

Stephen Hawking
PersonBritish theoretical physicist, cosmologist and author (1942–2018)

Jeffrey Epstein
PersonAmerican sex offender and financier (1953–2019)

Samantha Power
PersonIrish-American academic, author and diplomat
UBS Fund Advisor
OrganizationOrganization referenced in documents
Darren Indyke
PersonAmerican lawyer, longtime personal attorney and co-executor of Jeffrey Epstein's estate

Ghislaine Maxwell
PersonBritish socialite and sex trafficker, daughter of Robert Maxwell, accomplice of Jeffrey Epstein
UBSFA
OrganizationOrganization referenced in documents
the LLC Agreement
OrganizationOrganization referenced in documents
Investment Company
OrganizationOrganization referenced in documents
Andrew L. Farkas
PersonAttorney representing Andrew Farkas, referenced in Epstein real estate dealings

Limited Liability Company
OrganizationOrganization referenced in documents
Subscription Booklet
OrganizationOrganization referenced in documents
the Fund Investment Application
OrganizationOrganization referenced in documents
QuickCard
OrganizationOrganization referenced in documents
UBS Alternative Investments US
OrganizationOrganization referenced in documents