5
Total Mentions
5
Documents
44
Connected Entities
Person referenced in documents
EFTA00643456
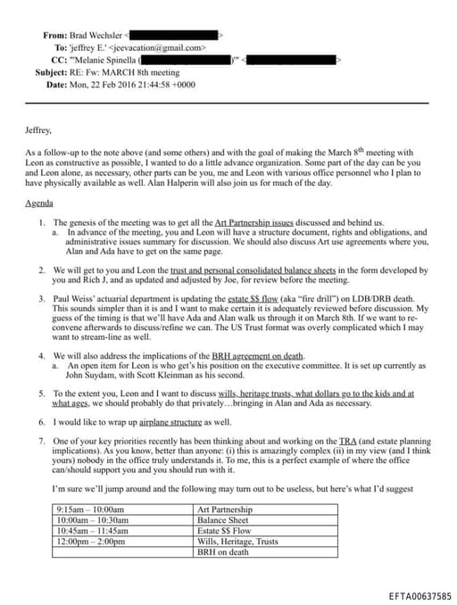
BRH agreement on death. a. An open item for Leon is who get's his position on the executive committee. It is set up currently as John Suydam, with Scott Kleinman as his second. 5. To the extent you, Leon and I want to discuss wills, heritage trusts what dollars go to the kids and at what am, we should probab
EFTA00658509
VP and Asst. Controller - Tom Doria VP - Stephanie Drescher VP - Barry Giarraputo VP - John J. Hannan VP -Joshua Harris VP - Andrew Jhawar VP - Scott Kleinman VP - Jessica Lomm VP - Steve Martinez VP and Asst. Secretary - Laurie Medley VP and Asst. Secretary - Patricia Navis VP - Stanley Parker VP - E
EFTA00675702
omination of Executive Committee Member that I prepared so that Leon directly names his successors on the Executive Committee: John Suydam first and Scott Kleinman second. 2. Preparing a Codicil that names Barry Cohen as the PR (in the event someone claims Leon's appointment is invalid as he did not consult wi
EFTA00863062
VP and Asst. Controller - Tom Dacia VP - Stephanie Drescher VP - Barry Giarraputo VP - John J. Hannan VP -Joshua Harris VP - Andrew Jhawar VP - Scott Kleinman VP - Jessica Lomm VP - Steve Martinez VP and Asst. Secretary - Laurie Medley VP and Asst. Secretary - Patricia Navis VP - Stanley Parker VP - E
EFTA00637585
BRH agreement on death. a. An open item for Leon is who get's his position on the executive committee. It is set up currently as John Suydam, with Scott Kleinman as his second. 5. To the extent you, Leon and I want to discuss wills, heritage trusts what dollars go to the kids and at what ages, we should prob

Jeffrey Epstein
PersonAmerican sex offender and financier (1953–2019)
Leon Black
PersonAmerican billionaire businessman (born 1951)
John Suydam
PersonPerson referenced in documents

Marc Rich
PersonAmerican commodities trader (1934–2013)

Barry Diller
PersonAmerican businessman

Brad Wechsler
PersonAmerican business executive, former IMAX Corporation chairman and CEO, Managing Partner of Elysium LLC (Leon Black's family office)

Alan Dershowitz
PersonAmerican lawyer, author, and art collector (born 1938)

Melanie Spinella
PersonExecutive assistant to Leon Black at Apollo Global Management

the Board of Directors
OrganizationBoard of directors referenced in documents

Paul, Weiss
OrganizationLaw firm (Paul, Weiss, Rifkind, Wharton & Garrison)

Heritage
OrganizationOrganization referenced in documents
Ada Clapp
PersonIndividual referenced in Epstein documents
Westbrook
LocationLocation referenced in documents
Alan S. Halperin
PersonAttorney who represented Epstein estate and appeared in Elysium (Leon Black) family office meetings
Art Partnership
OrganizationOrganization referenced in documents
Richard D'Agostino
PersonPerson referenced in documents
John J. Hannan
PersonPerson referenced in documents
Patrick B. Fenn
PersonPerson referenced in documents
Rich J
PersonPerson referenced in documents
The US Trust
OrganizationOrganization referenced in documents