8
Total Mentions
8
Documents
4
Connected Entities
Organization referenced in documents
EFTA00720733
s to interesting work and fun, and not other things.. I also understand that in order to keep the remarkable reservoir of goodwill I built up with the Origins Symposium, I need to make a 'hit' as far as the University is concerned.. i.e. bring in money to support this stuff.. just got $100K gift, and have applied w
EFTA00745036
es to interesting work and fun, and not other things.. I also understand that in order to keep the remarkable reservoir of goodwill I built up with the Origins Symposium, I need to make a 'hit' as far as the University is concerned.. i.e. bring in money to support this stuff.. just got $100K gift, and have applied wi
EFTA00720744
es to interesting work and fun, and not other things.. I also understand that in order to keep the remarkable reservoir of goodwill I built up with the Origins Symposium, I need to make a 'hit' as far as the University is concerned.. i.e. bring in money to support this stuff.. just got $100K gift, and have applied wi
EFTA01823652
to interesting work and fun, and not other things.. I also understand that in order to keep the remarkable reservoir of goodwill I built up with the Origins Symposium, I need to make a 'hit' as far as the University is concerned.. i.e. bring in money to support this stuff.. just got $100K gift, and have applied
EFTA02683631
es to interesting work and fun, and not other things.. I also understand that in order to keep the remarkable reservoir of goodwill I built up with the Origins Symposium, I need to make a 'hit' as far as the University is concerned.. i.e. bring in money to support this stuff.. just got $100K gift, and have applied w
EFTA02406574
es to interesting work and fun, and not other things.. I also understand that in order to keep the remarkable reservoir of goodwill I built up with the Origins Symposium, I need to make a 'hit' as far as the University is concerned.. i.e. bring in money to support this stuff.. just got $100K gift, and have applied w
EFTA02430912
s to interesting work and fun, and not other things.. I also understand that in order to keep the remarkable reservoir of goodwill I built up with the Origins Symposium, I need to make a 'hit' as far as the University is concerned.. i.e. bring in money to support this stuff.. just got $100K gift, and have applied w
EFTA02430916
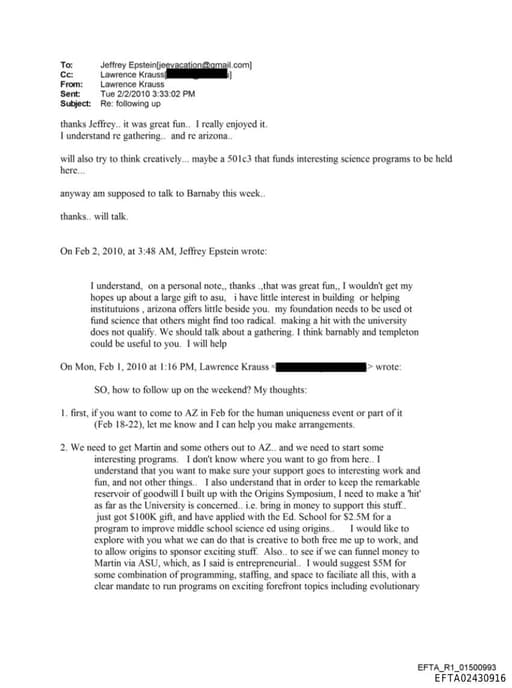
es to interesting work and fun, and not other things.. I also understand that in order to keep the remarkable reservoir of goodwill I built up with the Origins Symposium, I need to make a 'hit' as far as the University is concerned.. i.e. bring in money to support this stuff.. just got $100K gift, and have applied w

Jeffrey Epstein
PersonAmerican sex offender and financier (1953–2019)

Lawrence Krauss
PersonAmerican particle physicist and cosmologist
Bamaby
PersonOCR misspelling of Barnaby - refers to Barnaby Marsh in Epstein science/philanthropy correspondence
Paul Davies
PersonPerson referenced in documents