61
Total Mentions
61
Documents
351
Connected Entities
Organization referenced in documents
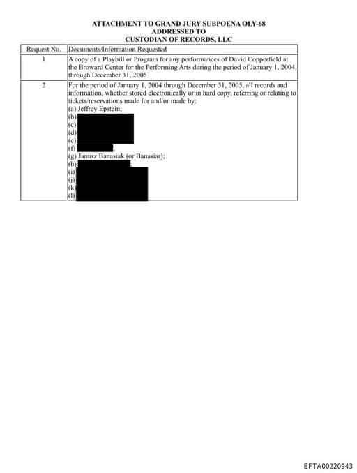
EFTA00220943
Request No. Documents/Information Requested 1 A copy of a Playbill or Program for any performances of David Copperfield at the Broward Center for the Performing Arts during the period of January 1, 2004, through December 31, 2005 2 For the period of January 1, 2004 through December 31, 2005, all records and in
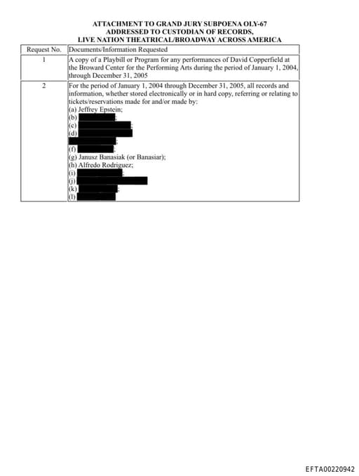
EFTA00220942
Request No. Documents/Information Requested 1 A copy of a Playbill or Program for any performances of David Copperfield at the Broward Center for the Performing Arts during the period of January 1, 2004, through December 31, 2005 2 For the period of January 1, 2004 through December 31, 2005, all records and in
EFTA00224943
terests, and Financial Trust Company, Inc. 6/13/2007 Subpoena to Majestic Theatre (return date 6/06/07) 6/13/2007 Subpoena to Broward Center for the Performing Arts (return date 6/26/07) 6/13/2007 Subpoena to Kravis Center for the Performing Arts (return date 6/26/07) 6/14/2007 6/14/2007-6/21/2007 Emails betw
EFTA00364837
t Faculty Citric Road 1:00pm Opera Talk by Leon Botstein Pick up 6 tickets at the "Hill Call" desk in the lobby of the Richard B. Fisher Center for the Performing Arts just before the Opera Talk 3:00pm Leon Botsteins Opera, Sosnoff Theater (Fisher Center for the Performing Arts at Bard College) 6:45pm-ish Opera f
EFTA00387012
B. Fisher Center for the Performing Arts just before the Opera Talk EFTA00387013 3:00pm Leon Botstein's Opera, Sosnoff Theater (Fisher Center for the Performing Arts at Bard College) 6:45pm-ish Opera finished Immediately Following Performance is the All Cast Party at Leon :s house (WILL JE GO TO THIS?) MONDAY
EFTA00387021
y of the Richard B. Fisher Center for the Performing Arts just before the Opera Talk 3:00pm Leon Botstein Opera, Sosnoff Theater (Fisher Center for the Performing Arts at Bard College) Immediately Following Performance is the All Cast Party at Leon house (WILL JE GO TO THIS?) MONDAY JULY 29, 2013 NY Reminder: L
EFTA00460975
Dick Cavett (maybe Ron Lauder?) Soon Yi: Ma, Dick: Sat. Oct 21, 2017 NY Reminder: Leon Botstein's concert 8pm @ The Richard B. Fisher Center for the Performing Arts (Sosnoff Theater), Bard College Reminder: Cecile to depart today (we will have apt 7.1 back) she departs 4am 1:30pm Appt w/Misha Gromov UM. 3:00p
EFTA00284739
EST) Arrival to Albuquerque, Atlantic Aviation Fridcw August 2.20013 RANCH Reminder: 7pm Leon Botstein's Opera, Sosnoff Theater (Fisher Center for the Performing Arts at Bard College) Reminder: Jeanne on holiday Aug. 2-9 (back in the office on the 12th) 11:20am to arrive via AA#1099 from DFW-CANCELLED! She flew
EFTA00284764
PB House 5:49pri to arrive PB via Delta 1902 FRIDAY JULY 26, 2013 PB-NY? Reminder: 7pm Leon Botstein's Opera, Sosnoff Theater (Fisher Center for the Performing Arts at Bard College) Reminder Yoed to drop the cello back at the house this morning. Reminder: Rich Kahn on holiday today, back in on Monday July 29 1
EFTA00387086
y of the Richard B. Fisher Center for the Performing Arts just before the Opera Talk 3:00pm Leon Botstein Opera, Sosnoff Theater (Fisher Center for the Performing Arts at Bard College) Immediately Following Performance is the All Cast Party at Leon house (WILL JE GO TO THIS?) EFTA00387087 Faculty Circle Road
EFTA00387326
y of the Richard B. Fisher Center for the Performing Arts just before the Opera Talk 3:00pm Leon Botstein Opera, Sosnoff Theater (Fisher Center for the Performing Arts at Bard College) MONDAY JULY 29, 2013 NY Reminder: Larry Vat Gulfstream GIV School July 29- Aug 19 EFTA00387329 TUESDAY JULY 30. 2013 NY-RANCH
EFTA00387521
y of the Richard B. Fisher Center for the Performing Arts just before the Opera Talk 3:00pm Leon Botstein Opera, Sosnoff Theater (Fisher Center for the Performing Arts at Bard College) EFTA00387521 Immediately Following Performance is the All Cast Party at Leon house (WILL JE CO TO THIS?) Faculty Circle Road
EFTA00387534
(he will go to Boston from July 31-Aug 5) Reminder: 1pm Opera Talk by Leon Botstein, 3pm Leon Botstein's Opera, Sosnoff Theater (Fisher Center for the Performing Arts at Bard College) TBD JE to go to HARVARD, Arrive 10:30am Depart 5:00pm Ed Boyden: "An Atlas of Brain Computations" Neil Gershenfeld: MONDAY JULY
EFTA00387604
he will go to Boston from July 31- Augi) Reminder: 1pm Opera Talk by Leon Botstein, 3pm Leon Botstein!c Opera, Sosnoff Theater (Fisher Center for the Performing Arts at Bard College) TBD JE to go to HARVARD, Arrive 10:30am Depart 5:00pm Ed Boyden: "An Atlas of Brain Computations" Neil Gershenfeld: MONDAY JULY
EFTA00387602
Boston froth my 31- Aug 5) 310-995-0493 Reminder: 1pm Opera Talk by Leon Botstein, 3pm Leon Botstein '.c Opera, Sosnoff Theater (Fisher Center for the Performing Arts at Bard College) TBD JE to go to HARVARD, Arrive 10:30am Depart 5:00pm Ed Boyden: "An Atlas of Brain Computations" Neil Gershenfeld: MONDAY JULY
EFTA00387613
r: Bobby Slayton to depart for Boston today. He will be back to NY Aug. 5. Reminder: 3pm Leon Botstein 's Opera, Sosnoff Theater (Fisher Center for the Performing Arts at Bard College) Reminder: Cecile on holiday July 31-Aug. 9 (back in the office on the 12th) Thursday August 1, 2013 RANCH Friday August 2, 20013
EFTA00387618
er: Bobby Slayton to depart for Boston today. He will be back to NY Aug. 5. Reminder: 3pm Leon Botstein!c Opera, Sosnoff Theater (Fisher Center for the Performing Arts at Bard College) Reminder: Cecile on holiday July 31-Aug. 9 (back in the office on the 12i") Thursday August 1, 2013 RANCH Friday August 2, 20013
EFTA00387607
e will go to Boston from July 31-Aug 5) Reminder: 1pm Opera Talk by Leon Botstein, 3pm Leon Botstein!s Opera, Sosnoff Theater (Fisher Center for the Performing Arts at Bard College) TBD JE to go to HARVARD, Arrive 10:30am Depart 5:00pm Ed Boyden: "An Atlas of Brain Computations" Neil Gershenfeld: MONDAY JULY
EFTA00387610
8 (he go to Boston from July 31-Aug 5) Reminder: 1pm Opera Talk by Leon Botstein, 3pm Leon Botstein!c Opera Sosnoff Theater (Fisher Center for the Performing Arts at Bard College) TBD JE to go to HARVARD, Arrive 10:30am Depart 5:00pm Ed Boyden: "An Atlas of Brain Computations" Neil Gershenfeld: MONDAY JULY
EFTA00186953
3401 ATTACHMENT TO GRAND JURY SUBPOENA FGJ 07-103 OLY-62 A copy of a Playbill or program for any performances at the Raymond F. Kravis Center for the Performing Arts during the period of January 1, 2004 through December 31, 2005. ? For the period of anuary 1, 2004 through December 31, 2005, all records and info

Jeffrey Epstein
PersonAmerican sex offender and financier (1953–2019)
Sosnoff Theater
OrganizationOrganization referenced in documents

Leon Botstein
PersonAmerican scholar, conductor, and educator (born 1946)

Lesley Groff
PersonExecutive assistant to Jeffrey Epstein (2001-2019)

Bard College
OrganizationPrivate liberal arts college in Annandale-on-Hudson, New York

Bobby Slayton
PersonAmerican actor

Karyna Shuliak
PersonBelarusian dentist, Jeffrey Epstein's girlfriend and named heir to his estate

Marc Rich
PersonAmerican commodities trader (1934–2013)
Leon Black
PersonAmerican billionaire businessman (born 1951)
Larry Visoski
PersonAmerican pilot who worked for Jeffrey Epstein from 1991-2019, testified as key witness in Ghislaine Maxwell trial

George W. Bush
PersonPresident of the United States from 2001 to 2009
Cecile de Jongh
PersonFormer First Lady of the U.S. Virgin Islands, managed Epstein's USVI-based companies

Ed Boyden
PersonAmerican neuroscientist

Alan Dershowitz
PersonAmerican lawyer, author, and art collector (born 1938)
Catherine Luiggi's
PersonPerson referenced in documents

Red Hook
LocationNeighborhood in Brooklyn, New York City

Catherine
PersonFirst name reference to multiple individuals in Epstein documents
Jeanne Brennan
PersonIndividual referenced in Epstein documents

Bradley Cooper
PersonAmerican actor

Joshua Cooper Ramo
PersonAmerican political analyst