4
Total Mentions
4
Documents
2
Connected Entities
Organization referenced in documents
EFTA00803788
ch may, from time to time, be required to obtain and maintain the effectiveness of the Israeli Tax Ruling, including an acknowledgement addressed to the Israeli Tax Authority, (iii) all instruments and documents in connection with the admission of a new or substitute limited partner; (iv) any amendments to the Partnershi
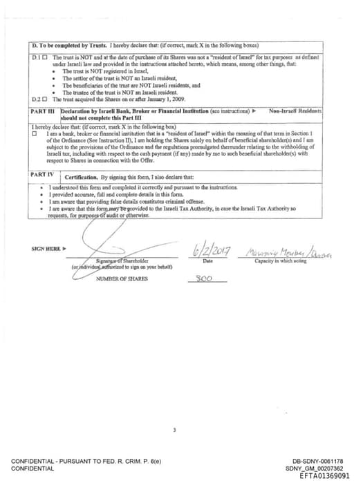
EFTA01369091
and complete details in this form. • I am aware that providing false details constitutes criminal offense. • I are aware that this forn vided to the Israeli Tax Authority, in case the Israeli Tax Authority so requests, for purpose f audit or otherwise. SIGN HERE si• Shareholder (or ' rized to sign on your behalf)
EFTA01383713
lete details in this fomt • I am aware that providing false details constitutes criminal offense. • l are aware that this form may be provided to the Israeli Tax Authority in case the Israeli Tax Authority so requests, for purposes of audit or otherwise. SIGN HERE P. Signature of Shareholder (or individual authorize
EFTA01380282
lete details in this fomt • I am aware that providing false details constitutes criminal offense. • l are aware that this form may be provided to the Israeli Tax Authority in case the Israeli Tax Authority so requests, for purposes of audit or otherwise. SIGN HERE P. Signature of Shareholder (or individual authorize