34
Total Mentions
30
Documents
734
Connected Entities
Location referenced in documents
EFTA00728523
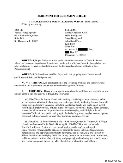
PROPERTY: Buyer hereby agrees to purchase from Sellers and take title to, and Sellers agree to sell and convey to Buyer, the following: (a) All of Great St. James Island, in its entirety, consisting of approximately 162.6 acres, together with its off island cays and rocks, specifically including Current
transfer to Buyer any permit applications currently pending with the Department of Planning and Natural Resources for the commercial development of Great St. James Island and/or the development of Great St. James Island into a residential community. At or prior to closing, Sellers shall deliver to Buyer
EFTA00802602_sub_001 - EFTA00802602_100
us) was seen off both the Christmas Cove and southern dock site. Methods The NOS St. John and St. Thomas Habitat map Tile 16 (Figure 6.06.1) of the Great St. James area shows the colonized rock pavement and bedrock as well as the offshore seagrass beds. The seagrass beds are not as continuous near the sh
Coastal Zone Permit to construct two docks, one of which is a combination dock and barge landing and a temporary barge landing to provide access to Great St. James Island. A temporary barge landing is being proposed on the northwestern facing beach. This site is to the west of the sand pond and the assoc
EFTA00582778
NR declares Great St. Jim, LLC in default under the Settlement Agreement. These moorings were in place prior to Great St. Jim, LLC's acquisition of Great St. James Island. They were not installed by Great St. Jim, LLC nor have they been nor are they maintained by Great St. Jim, LLC. The moorings are affix
rripment " The two fuel tanks are located on the same pad as, connected directly to, and are an integral part of the generator that was installed on Great St. James Island well before Great St Jim, LLC's acquisition of the island. The tanks were not installed for the purpose of dispensing fuel to heavy eq
EFTA00805272
Attached is a copy of the deed from James A. Evans, Jr., William H. Evans and Cowpet Bay Corporation to Karen Lis Kjaer, recorded on EFTA00805274 Great St. lint. LLC, v. /gate, et at Motion to Dismiss the First Amended Complaint Page 4 October II, 1979. A copy of the 1979 deed is attached as Exhibit 3
rever, all of their right, title and interest in and to the following described real pro- perty: "CS a te , 3 y 76' • — 1. The Island known as Great St. James Island / 74. in the United States Virgin islands and being located off the southeastern tip of the Island of St. Thomas, United States vir
EFTA00076815
alued at $17,246,208, 358 El Brillo Way, Palm Beach, Florida 33480 valued at $12,380,209, 22 Avenue Foch, Paris France 75116 valued at $8,672,823, Great St. James Island No. 6A USVI 00802 (parcels A, B, and C) valued at $22,498,600 and Little St. James Island No. 6B USVI 00802 (parcels A, B, and C). D
EFTA00077515
31,000; 49 Zorro Ranch Road, Stanley, NM, $17,246,208; 358 El Brillo Way, Palm Beach, Fla., $12,380,209; 22 Avenue Foch, Paris, France, $8,672,823; Great St. James Island in the Virgin Islands, $22,498,600, and Little St. James Island, also there, $63,874,223. But the new papers also include a line for "
EFTA00081947
valued at $17,246,208, 358 El Brillo Way, Palm Beach, Florida 33480 valued at $12,380,209, 22 Avenue Foch, Paris France 75116 valued at $8,672,823, Great St. James Island No. 6A USVI 00802 (parcels A, B, and C) valued at $22,498,600 and Little St. James Island No. 6B USVI 00802 (parcels A, B, and C). Dkt.
EFTA00092932
31,000; 49 Zorro Ranch Road, Stanley, NM, $17,246,208; 358 El Brillo Way, Palm Beach, Fla., $12,380,209; 22 Avenue Foch, Paris, France, $8,672,823; Great St. James Island in the Virgin Islands, $22,498,600, and Little St. James Island, also there, $63,874,223. But the new papers also include a line for "
EFTA00300480
e Renewal Endorsement (beginning April 1, 2011 and ending Sept 30, 2011) EFTA00300510 Water Permit-Analysis of Professional and Related Fees Paid Great St. lames -Offer Letter (Christian Kjaer c/o Kevin D'Amour) -Accountant Representation Letter Purchase of Crew Boat- Sub Quest (Subquestj -Correspond
EFTA00792782
e. but to simply. and proudly, place the flog of the United States of America on it. I Reconsideration or Special Condition NO. Id for CR-05470j on Great St. /amts. St. Thomas icredion Design Gracia voyernoer 29. 22 l 6 EFTA00792792 It is important to uS that this condition be reconsidered prior to ou
EFTA00793341
t. Jim, LLC is seeking to construct two docks. one of which is a combination dock/ barge landing, and a temporary barge landing to provide access to Great St. James Island. There is currently a small pile-supported dock located within Shallow Bay on the north side of the island. The toy is very shallow and
EFTA00798205
(PIN): 1-09801-0101-00, 1-09801-0102-00, 1-09801-0103-00 Great St. James Island Red Hook Qtr. B-183-2 Great St. James Island Red Hook Ott C-1&C-2 Great St. James Island No.6A Red Hook Otr CADASTRAL SECTION COMMISSIONER OF INSURANCE ESTATE No.: I. OWNER/APPLICATION INFORMATION OWNER NAME: Great St. J
EFTA00799455
ons ProSolar America, LLC Dear Mr. Walden: July 20, 2018 I am general counsel to Great St. Jim, LLC and LSJE, LLC ("GSJ"), which own and operate Great St. James Island in the U.S. Virgin Islands. I understand that GSJ purchased a 310.8 kWh solar power system from ProSolar Systems, LLC ("ProSolar") in
EFTA00799453
ons ProSolar America, LLC Dear Mr. Walden: June 25, 2018 I am general counsel to Great St. Jim, LLC and LSJE, LLC ("GSJ"), which own and operate Great St. James Island in the U.S. Virgin Islands. I understand that GSJ purchased a 310.8 kWh solar power system from ProSolar Systems, LLC ("ProSolar") in
EFTA00808011
t. Jim, LLC is seeking to construct two docks, one of which is a combination dock/ barge landing, and a temporary barge landing to provide access to Great St. James Island. There is currently a small pile-supported dock located within Shallow Bay on the north side of the island. The bay is very shallow an
EFTA00599527
GREAT ST. JAMES - U.S. VIRGIN ISLANDS • PROJECT FEASIBILITY REPORT • APRIL 2016 %-1 w to g. MONTEGAN A & D Inc. EFTA00599527 Great St. James Island USVI Estate Great Saint James Island is a Civil in St. Thomas County, VI with an elevation of 125 feet, or 38 meters above sea level.
EFTA00600128
on, you are authorized to remove the seaweed with the following conditions: 1) Work is limited to the removal of the seaweed from the shorelines of Great St. James Virgin Islands. No in-water removal is permitted; 2) CZM must be notified at least 72 hours prior to commencement of work; 3) Prior to comme
EFTA00621968
B. SUPPORTING INFORMATION C. SITE PHOTOGRAPHS D. DATABASE SEARCH 3 EFTA00621970 I. SUMMARY An Environmental Site Assessment was conducted of Great St. James Island in January 2016. Great St. James is located off the southeastern end of the island of St. Thomas. Little St. James lies to the east.
EFTA00634506
e (including partners, subsidiaries, affiliates, and/or advisors). It is acknowledged that Newland, will provide proprietary information concerning Great St. James Island, No.6A Red Hook Quarter, St.Thomas USVI Tax Parcel No.1-09801-01 consisting of approx. 157 acres and Parcel No. I I Estate Nazareth, N
EFTA00582782
s in the water. • The four moorings referred to in paragraph 7H of the Notice to Cure, were installed prior to Great St. Jim, LLC's acquisition of Great St. James Island and are not maintained or used by Great St. Jim, LLC. The four moorings are affixed to submerged land which is not part of Great St. Ja

U.S. Virgin Islands
LocationUnincorporated territory of the United States of America

Jeffrey Epstein
PersonAmerican sex offender and financier (1953–2019)
Erika Kellerhals
PersonU.S. Virgin Islands tax attorney who served as Jeffrey Epstein's corporate and international tax lawyer

Great St. James
OrganizationGreat St. James Island, USVI, owned by Epstein

Jes Staley
PersonAmerican banker, chief executive officer of Barclays

United States
LocationCountry located primarily in North America

Mark Epstein
PersonAmerican property developer, brother of Jeffrey Epstein
Kate Sheehy
PersonPerson referenced in documents

James Baker
PersonAmerican lawyer and statesman (born 1930)

Michael Jackson
PersonAmerican singer, songwriter, record producer, and dancer (1958–2009)

New York City
LocationMost populous city in the United States

Sarah Ferguson
PersonBritish writer, charity patron, public speaker, film producer and television personality, and former duchess of York

New York
LocationMost populous city in the United States
Maria Farmer
PersonAmerican visual artist
Ferguson Kroblin
PersonAttorney and co-founder of Kellerhals Ferguson Kroblin, Epstein's USVI law firm

Ruth Pickholz
PersonPerson referenced in documents

Bradley Edwards
PersonAmerican attorney who represented Epstein victims, author of Relentless Pursuit
Darren Indyke
PersonAmerican lawyer, longtime personal attorney and co-executor of Jeffrey Epstein's estate

George W. Bush
PersonPresident of the United States from 2001 to 2009
Christmas Cove
LocationCove in St. John, U.S. Virgin Islands