70
Total Mentions
67
Documents
35
Connected Entities
Person referenced in documents
EFTA01841037
as you now suggest. as you have given us little choice.. On Sat, Feb 4, 2012 at 9:45 AM, FYI Sent from my iPhone Begin forwarded message: From: Bart Wolterman Date: Februa 4 2012 9:22:05 AM GMT-04:00 To: Cc: Reply-To: Ban Wolterman wrote: Rex has brought to my attention that Jeffrey is now requestin
45 AM, FYI Sent from my iPhone Begin forwarded message: From: Bart Wolterman Date: Februa 4 2012 9:22:05 AM GMT-04:00 To: Cc: Reply-To: Ban Wolterman wrote: Rex has brought to my attention that Jeffrey is now requesting a price to tile the flagpole pool. Unfortunately, due to other contracts and
EFTA00583834
.J., LLC 6100 Red Hook Quarter Suite B-3 St Thomas, USVI 00802 340-775-8100 FOR SETTLEMENT PURPOSES ONLY January _,2012 Mr. Rex Wolterman Mr. Bart Wolterman Virgin Islands Gunite Pools 25 America-Anchorage Condos St. Thomas, USVI 00802 Dear Messrs. Wolterman This is to confirm and constitute the agre
January _,2012 Mr. Rex Wolterman Mr. Bart Wolterman Virgin Islands Gunite Pools 25 America-Anchorage Condos St. Thomas, USVI 00802 Dear Messrs. Wolterman This is to confirm and constitute the agreement by and between Virgin Islands Gunite Pools ("VIGP") and L.S.J., LLC ("LSJ") regarding the installat
EFTA00305807
LY January (12012 Mr. Rex Wolterman Mr. Bart Wolterman Virgin Islands Gunite Pools 25 America-Anchorage Condos St. Thomas, USV1 00802 Dear Mr. Wolterman This is to confirm and constitute the agreement by and between Virgin Islands Gunite Pools ("V1GP") and L.S.J., LLC ("LSJ") regarding the installat
LLC 6100 Red Hook Quarter Suite B-3 St. Thomas, USVI 00802 340-775-8100 FOR SETTLEMENT PURPOSES ONLY January (12012 Mr. Rex Wolterman Mr. Bart Wolterman Virgin Islands Gunite Pools 25 America-Anchorage Condos St. Thomas, USV1 00802 Dear Mr. Wolterman This is to confirm and constitute the agreemen
EFTA00305803
n move forward and make this a win-win situation for all parties. We look forward to your response and hope you are having a great day. Sincerely, Bart Wolterman Owner 2 EFTA00305804
EFTA00421809
ded message: From: brice gordon < Date: January 5, 2012 8:50:56 AM EST To: Darren Indyke Subject: Fwd: Heat Pumps FYI Forwarded message From: Bart Wolterman Date: Wed, Jan 4, 2012 at 5:23 PM Subject: Re: Heat Pum s To: brice gordon Cc: Rex Wolterman Bryce, Here is what materials are needed for the
EFTA00311002
DARREN K. INDYKE DARREN K. INDYKE, PLLC 301 East 66th Street New York, New York 10065 March 9, 2012 VIA EMAIL Mr. Bart Wolterman Mr. Rex Wolterman Virgin Islands Gunite Pools 25 America-Anchorage Condos St. Thomas. USVI 00802 Re: Little St. James Island Gentlemen. After
EFTA00305797
r delays beyond our control. Homeowner to carry fire, tornado, and all other necessary insurance upon above work. Respectfully Submitted: Per: Ban Wolterman Note: This proposal may be withdrawn by us if not accepted within 30 days. ACCEPTANCE OF PROPOSAL The above prices, specifications, and conditions
EFTA00719827
he pool. I would like to see at least $ 20,000.00 of my balance wired over to me please. Let me know if you have any further questions. Thank you, Bart Wolterman Brice Gordon Little Saint James USVI Phone: The information contained in this communication is confidential, may be attorney-client privileged
EFTA00286263
DARREN K. INDYKE DARREN K. INDYKE, PLLC 301 East 66th Street New York New York 10065 March 9, 2012 Mr. Bart Wolterman Mr. Rex Wolterman Virgin Islands Gunite Pools 25 America-Anchorage Condos St. Thomas. USVI 00802 Re: Little St. James Island Gentlemen. After
EFTA00421986
an 4, 2012, at 4:55 PM, ' ' Sent from my iPhone Begin forwarded message: From: Wendy Lockman Date: January 3.2012 8:05:49 PM GMT-04:00 To: " Cc: Bart Wolterman Rex Wolterman Subject: LSJ Reply-To: Wendy Lockman Bryce, > wrote: This is the same thing that we have talked about for the last 3 months as far
EFTA00423051
From: To: Jeffrey Epstein CC <[email protected]> Cc: Subject: Bart Wolterman Date: Wed, 30 Nov 2011 15:41:38 +0000 Begin forwarded message: From: Bart Wolterman < Date: November 30, 2011 10:37:35 AM EST To: Subject: Re:
EFTA00423056
17:04:34 +0000 thanks On Nov 30, 2011, at 11:55 AM, Jeffrey Epstein wrote: 12 On Wed, Nov 30, 2011 at 10:41 AM, Begin forwarded message: From: Bart Wolterman < Date: November 30, 2011 10:37:35 AM EST To: Subject: Re: From Jeffrey Epstein wrote: Yes, I fully understand and did see this. Please trust me
EFTA00423067
From: To: Batt Wolterman • Subject: Re: From Jeffrey Epstein Date: Wed, 30 Nov 2011 21:00:16 +0000 I will relay On Nov 30, 2011, at 3:57 PM, Bart Wolterman wrote: Are we talking about tile, what I just proposed? If so no more than 20days Bart Wolterman V-Pump 1045 Aviation Dr. Lake Havasu City, AZ 8
EFTA00561360
ney < > wrote: FYI. Especially the blue flagpole. We have a little more time on the main pool Sent from my iPhone Begin forwarded message: From: Bart Wolterman Date: April 1, 2011 9:58:25 AM GMT-04:00 To: Gary Kemey Subject: Re: Tile Need it a.s.a.p. Please Sent from my iPad On Apr 1, 2011, at 5:21 AM,
EFTA00660646
r delays beyond our control. Homeowner to carry fire, tornado, and all other necessary insurance upon above work. Respectfully Submitted: Per: Ban Wolterman Note: This proposal may be withdrawn by us if not accepted within 30 days. ACCEPTANCE OF PROPOSAL The above prices, specifications, and conditions
EFTA00656786
r delays beyond our control. Homeowner to carry fire, tornado, and all other necessary insurance upon above work. Respectfully Submitted: Per: Ban Wolterman Note: This proposal may be withdrawn by us if not accepted within 30 days. ACCEPTANCE OF PROPOSAL The above prices, specifications, and conditions
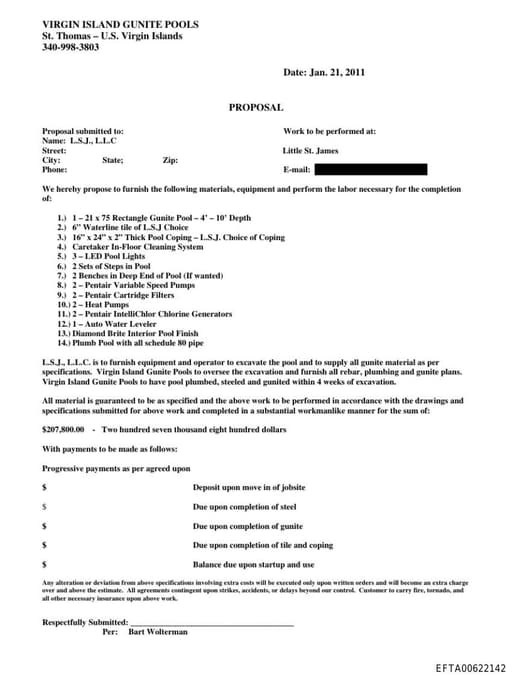
EFTA00622142
, or delays beyond our control. Customer to carry lire, tornado, and all other necessary insurance upon above work. Respectfully Submitted: Per: Bart Wolterman EFTA00622142 Note: This proposal may be withdrawn by us if not accepted within 30 days. ACCEPTANCE OF PROPOSAL The above prices, specifications
EFTA00632506
e confirm material delivery first Forwarded message From: Rex Wolterman Date: Sun, Feb 12, 2012 at 6:49 PM Subject: Fw: To: bryce gordon Cc: Bart Wolterman Hi Brice--Please find attached the proposal to redo Main Pool with Blue Diamond Brite-- We have a few hours tomorrow AM and will start filling Flagpo
EFTA00661064
From: Lesley Groff <1 To: Jeffrey Epstein <[email protected]> Subject: Re: Bart Wolterman Date: Wed, 30 Nov 2011 20:28:42 +0000 I will relay On Nov 30, 2011, at 3:26 PM, Jeffrey Epstein wrote: I appreciate the offer.. give me a realist
EFTA00414438
will) mention lien this morning, Forwarded message From: Rex Wolterman Date: Sun, Feb 12, 2012 at 6:49 PM Subject: Fw: To: bryce gordon Cc: Bart Wolterman Hi Brice--Please find attached the proposal to redo Main Pool with Blue Diamond Brite-- We have a few hours tomorrow AM and will start filling Flagpo

Jeffrey Epstein
PersonAmerican sex offender and financier (1953–2019)
Rex Wolterman
PersonPerson referenced in documents
Diamond Brite
OrganizationOrganization referenced in documents

Saint James
LocationOne of the Twelve Apostles of Jesus

Condoleezza Rice
PersonAmerican diplomat and political scientist (born 1954)
Brice Gordon
PersonNew Zealand property manager at Epstein's Zorro Ranch in New Mexico, estate beneficiary
Lake Havasu City
LocationLocation referenced in documents
Wendy Lockman
PersonPerson referenced in documents
Gary Kerney
PersonEpstein associate listed in his black book and on flight manifests

U.S. Virgin Islands
LocationUnincorporated territory of the United States of America
Darren Indyke
PersonAmerican lawyer, longtime personal attorney and co-executor of Jeffrey Epstein's estate

Lesley Groff
PersonExecutive assistant to Jeffrey Epstein (2001-2019)
Sawcut
LocationLocation referenced in documents
Waterline
PersonSurname or name fragment in documents

Marc Rich
PersonAmerican commodities trader (1934–2013)
Bryce
PersonFirst name reference to multiple individuals in Epstein-related documents
Main Pool
OrganizationOrganization referenced in documents
First Bank
OrganizationFinancial institution referenced in documents
Chip•out
LocationLocation referenced in documents
1045 Aviation
OrganizationOrganization referenced in documents