
103
Total Mentions
103
Documents
438
Connected Entities
NER artifact: Common word misidentified as person name
EFTA00100894
vidual Last(or Entity) Name EPSTEIN First Name JEFFREY Alternate Name(s) Alternate Name SOUTHERN TRUST COMPANY, INC Gender Type Unknown Date of Birth 01/20/1953 SSN/ITIN Form(s) of Identification Identification Type Other Other Text Non-documentary verification Address(es) Address Type Subjec
EFTA00109739
C: CIVIL CONTEMPT MATERIAL WITNESS Date of Offense: iffh1//ii/4 Date of Arrest:02/041.4/4 Place of Arrest: State of Birth .1..(k Country of.Birth. Citizenship v;. Cu - Height Ft: • In: / Weight /6,0 Hair. /.)/4, Eyes &en Scars /.Marks /Tattoos Injuries / Medication 1 Arraigned
EFTA00120653
ffense: Date of Arrest:-711)4 19. Place of Arrest: t 151tInil • State of Birth fly Height Ft: t, In:0-) Injuries / Medicatibn Country. of Birth' ‘)% WeighSt.) t .‘ Hair Citizenship s Eyes C2 .Current Addrese1.6(0-11l\p/ 'Zip Code -• -YkVilse\ 1)1)‘ -. Cr\c t\?\- t1L 1ctw Scars I. Mar
EFTA01299215
FED. R. . . ( ) DB-SDNY-0027795 EFTA_00175470 EFTA01299215 Norkom 6.1.0 - Dow Jones Details Page 2 of 2 Type Date Date of Birth Cate of Birth 00/00/1969 00/00/1970 Description1 Type Country Citizenship Russia Resident of Russia Destription2 Description 1 Special Interest Person
EFTA00152995
person will be authorized. You will be responsible for any incidental charges incurred such as in-flight snacks, Pay-Per-View, Wi-Fi, etc. Date of Birth (required by airlines): 2/1/1987 Airport of origin: Preferred time of travel: Clack here to enter departure airport name Do you require lodging?
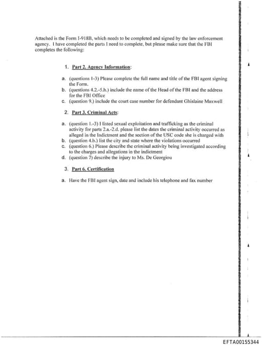
EFTA00155344
l names, use the space provided in Part 7. Additional Information. 3.a. Family Na (Last Na 3.b. Given Na (First Nam 3.c. Middle Na 4. Date of Birth (nun/dd/yyyy) 5. Gender O Male Ela Female Part 2. Agency Information 1. Name of Certifying Agency Federal Bureau of Investigations Name of
EFTA00156636
section, use the space provided in Part 9. Additional Information. Family Name (Last Name) Given Name (First Name) Middle Name (if any) Date of Birth (ddirrun/yyyy) 4. Gender or Sex El Male El Female El Other Alien Registration Number (A-Number) (if any) P. A- U.S. Social Security Number (SSN)
EFTA00160353
bloodshed among the regional powers at the turn of the twentieth century. Using her latest book, The Other Great Game: The Opening of Korea and the Birth of Modern East Asia (The Belknap Press of Harvard University Press, 2023), Sheila Miyoshi Jager will illuminate some key aspects of this struggle t
EFTA00169183
ist Name Individual Client Name Name Extension Field or Corporate Name Street # Address Line 1 Mailing Info City Zip Code Name Type Date of Birth nternal Client Client Title Last Name Street Name State Country SSN Mandatory for IRA Account Branch Identify any other affiliation types thi
EFTA00173130
y/town/village, state/province, and country where you were born. 19.a. Citv/TownNilla e of Birth 19.b. State/Province of Birth 19.c. Country of Birth =IS 20. Datc of Birth (mm/dd/yyyy) I Information About Your Last Arrival in the United States 21.a. Form 1-94 Arrival-Departure Record Number (if
EFTA00188309
44- 3.Z.1 g menshipiStaws 114.1r -rrn STATES 1 ; i Current Address Sk_ ,_Ye ds aS,LAyg r AL39.0.___Cth s.“.AA tagr a el3 133 I i : • Date of Birth . - Crt 1..1 , 2119 V) f3 Place of Birth WC.*4.1 __Vorle • i Feline under ptitalty of perjury under the laws of the United States of America t
EFTA01304177
802 Tel: Date: 03/20/18 Employee Name: Gerry Titre Emergency Contact Form Fax: 340-775-8108 Start Date: Address: St Thomas, VI 00802 Date of Birth' Phone: Cell E-Mail: n/a Title / Position: Maintenance Marital Status: Married License: nergency Information: High Blood Pressure Allergies
EFTA00296118
linppltants who have prevously 1. Name Last K D L O ri DP DOTS Code. End. # Exp. EPSTEIN First Middle .4Zie741 JEFFREY EDWARD 2. Date of Birth (mm/ddlyyyy) 01 20 5. Social Security 3. Sex IA F x 6. Email Address 4. Mace of Birth (City & State N in the U.S.. of City & Country as it i
EFTA00296106
lidlyperiod. and is recommended [ncialcarts who have prevausly required the addden el visa pages. 1. Name Last EPSTEIN First JEFFREY 2. Date of Birth (mmiddryyyy) 01 20 1953 5. Social Security Number 3. Sox IA F X Middle ED Ho DIM DOTS Code. End. # Exp. EDWARD 4. Place of Birth (City &
EFTA00296112
Cd Fee. EF Postage Other 1111111 11111 Date DS-82 08-2013 Page 1 of 2 EFTA00296116 Name of Applicant (Last. First & Middle) Date of Birth (mmfddiyyyy) EPSTEIN, JEFFREY EDWARD 01/20/1953 12. Height 13. Hair Color 14. Eye Color 5ft. GRAY BLUE 15. Occupation 16. Employer or Schoo
EFTA00296124
lidlyperiod and is reeemmended Ic ppleares who have prevously required the addrion el visa pages. 1. Name Last EPSTEIN First JEFFREY 2. Date of Birth (mm/ddlyyyy) 01 20 1953 5. Social Security Number 3. Sex F x Middle K D L O DP DOTS Code. End. # Exp. EDWARD 4. Place of Birth (City &
EFTA00304526
tno lardy Vat abroad dein tie era ay Met mar reaormoree I—fff .•!‘"It•E•104•Yr•Winse•00,40^0/`••PMt — - 1. Name Last EPSTEIN JEFFREY 2. Date of Birth (ratraldggyy) 3. Sex 4. Place of Birth (City .5 State If In the U.S., or City 8 Country as It is prasentty known.) 0 1 2 0 1 9 5 3 X 5. Social
EFTA00314128
Name of Applicant (Last First & &fiddle) EPSTEIN, JEFFREY EDWARD Date of Birth (mrri/ddryyyy) 01/20/1953 12. Height 13. Hair Color 14. Eye Color 16. Occupation 16. Employer or School (if applicable) set. lie. GRAY BLUE
EFTA00314126
ampa v014dy pen* 3114 feCOM1104044 rya npvnarne who have pronoun" rorprnrd ti WOW) °Into P.)155 1. Name Last EPSTEIN First JEFFREY 2. Date of Birth (nunaktlYYYY) 01 20 1953 5. Social Security Number Middle EDWARD no Clo OOP DOTS Code Cott Exp. 3. Sex 4. Place of Birth (City & Slate if
EFTA00099203
es.display_doc_all?p_hash=42994A0... 2/24/2020 EFTA00099203 Scanned Document Collection Page 2 of 3 Name of Applicant i .1 • Fwy A Mae) Date of Birth (prortde./410 ) \1 \\\t:l. ‘ I . GIIISLAI \II \OFLI F I: ": •1 ii.6I 1111 12. Height 13. Hair Color 14. Eye Color 15. Occupation 16. Employ

Jeffrey Epstein
PersonAmerican sex offender and financier (1953–2019)
Leon Black
PersonAmerican billionaire businessman (born 1951)
Wi-Fi
OrganizationWi-Fi wireless networking technology
Darren Indyke
PersonAmerican lawyer, longtime personal attorney and co-executor of Jeffrey Epstein's estate
Jane Doe
PersonPseudonym for anonymous victims/witnesses in Epstein legal proceedings
Victim Services Division
OrganizationFBI Victim Services Division

George W. Bush
PersonPresident of the United States from 2001 to 2009

United States
LocationCountry located primarily in North America

Department of Justice
OrganizationUnited States Department of Justice, federal executive department responsible for law enforcement

Ghislaine Maxwell
PersonBritish socialite and sex trafficker, daughter of Robert Maxwell, accomplice of Jeffrey Epstein
U.S. PASSPORT RENEWAL APPLICATION
OrganizationOrganization referenced in documents

Philadelphia
Location1993 film by Jonathan Demme

John F. Kennedy
PersonPresident of the United States from 1961 to 1963 (1917–1963)

Palm Beach
LocationTown in Palm Beach County, Florida, United States

Julie K. Brown
PersonAmerican journalist
FBI
OrganizationFederal Bureau of Investigation, domestic intelligence and security service of the United States
Overseas Citizen Services Records
OrganizationOrganization referenced in documents
U.S. Embassy
OrganizationU.S. Embassy

Maine
LocationState of the United States of America
National Passport Processing Center
OrganizationOrganization referenced in documents