56
Total Mentions
56
Documents
938
Connected Entities
Organization referenced in documents
EFTA00137295
23, Albergotti, 14.2M) reports Thomas Moyer, Apple's head of global security, "was charged with bribery last week for allegedly promising to donate iPads to the Santa Clara County Sheriff's Office in exchange for concealed weapons permits, according to an indictment made public Monday." According to a
EFTA00149112
/23, Albergotti, 14.2M) reports Thomas Moyer, Apple's head of global security, "was charged with bribery last week for allegedly promising to donate iPads to the Santa Clara County Sheriff's Office in exchange for concealed weapons permits, according to an indictment made public Monday." According to
EFTA00161484
lo Way, Palm Beach, Fl during the execution of a PBPD search. Numerous digital devices are listed in the evidentiary file, consisting of computers, iPads, phones etc., seized from multiple locations. The comprehensive evidence list is attached. A detailed review of above mentioned items would be nece
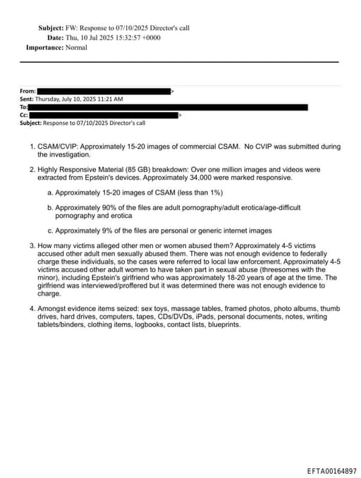
EFTA00164897
ge. 4. Amongst evidence items seized: sex toys, massage tables, framed photos, photo albums, thumb drives, hard drives, computers, tapes, CDs/DVDs, iPads, personal documents, notes, writing tablets/binders, clothing items, logbooks, contact lists, blueprints. EFTA00164897
EFTA00174463
tion of 3 devices which were unable to be accessed due to encryption. ITS/FE has been in contact with ERF Quantico to evaluate for solutions. o 3 iPads and 1 iPhone were sent to ERF for unlocking. o I iMac was found to be locked and not able to be imaged, discussions with ERF are ongoing regarding
EFTA00360372
they know how to react and move on when they don't get their own way. Interacting with actual people, and not just the screens on their iPhones or iPads, is a challenge, if not an impossibility. I won't call this "abuse," but it's pretty damn close. This is a world constructed by "well-meaning" but
EFTA00338152
on. There's no apparent difference to the user or whoever is on the other end. The only downside is that non-FaceTime calls can't be made from Macs, iPads or Apple Watch anymore -- which is something most people don't use anyway. MacRumors Wi-Fi Calling Now Available for AT&T Users AT&T has flipped
EFTA00703274
i, 07 Nov 2014 17:54:17 +0000 Attachments: SHBRK_Scann14110713260.pdf i have attached a summary of points available and potential use of points for iPads (LSJ kids) amex only values points at .00625 vs .01 when used for apple equipment please advise thank you Richard Kahn HBRK Associates Inc. Beg
EFTA00417655
From: To: Subject: Re: je Date: Fri, 16 Mar 2012 17:49:43 +0000 ok thanks.. On Mar 16, 2012, at 1:48 PM, wrote: > We went to buy iPads at best buy. In line now. Will be back soon > On Mar 16, 2012, at 1:42 PM, > wrote: >> hey girls...JE just asked if y'all were here...I told him y
EFTA00417654
hin: To: MIMIIIMINIE=> Cc: "III Subject: Re: je Date: Fri, 16 Mar 2012 17:48:26 +0000 We went to buy iPads at best buy. In line now. Will be back soon On Mar 16, 2012, at 1:42 PM, wrote: > hey girls...JE just asked if y'all were here...I told him you le
EFTA00810765
nd, including non-LSJE contractors. The captains will each be equipped with a cell-service enabled iPad (or cell phones with hot spots to enable the iPads which might make more sense). An icon will be placed on the home page directly linking the captains to a spreadsheet in Google does. This will enab
EFTA00855703
e, we learned from Jeremy Scahill and Josh Begley of the Intercept that the CIA has spent years trying to break the encryption on Apple iPhones and iPads; it has, that is, been aggressively seeking to attack an all-American corporation (even if significant parts of its production process are actually
EFTA00314991
LAX), Honolulu (HNL), New York (JFK, LGA), and Chicago (ORD, MDW). As denizens of a digital world, they carry with them laptop computers, iPhones, iPads, iPods. Kindles, Nooks, Surfaces, tablets, Blackberries, cell phones, digital cameras, and more. These devices often contain private and sensitive
EFTA00423915
ors can be alarming sounding but they are not a major concern and should resolve themselves quickly Every device on the network including iPhones , iPads , sons , apple tv crestron the airport boxes themselves all get what are called DHCP leased Ip numbers and will rotate between 10.0.1.1- 10.0.1.254
EFTA00423912
ors can be alarming sounding but they are not a major concern and should resolve themselves quickly Every device on the network including iPhones , iPads , sons , apple tv crestron the airport boxes themselves all get what are called DHCP leased Ip numbers and will rotate between 10.0.1.1- 10.0.1.254
EFTA00423923
ors can be alarming sounding but they are not a major concern and should resolve themselves quickly Every device on the network including iPhones , iPads , sons , apple tv crestron the airport boxes themselves all get what are called DHCP leased Ip numbers and will rotate between 10.0.1.1- 10.0.1.254
EFTA00423926
ors can be alarming sounding but they are not a major concern and should resolve themselves quickly Every device on the network including iPhones , iPads , sons , apple tv crestron the airport boxes themselves all get what are called DHCP leased Ip numbers and will rotate between 10.0.1.1- 10.0.1.254
EFTA00445581
Date: Tue, 28 Feb 2017 12:36:13 +0000 I don't remember the name of your wireless network (no t yet). If you open Settings > Wifi on your iPhones or iPads (or click the wifi next to the clock icon in the menu bar of an iMac), all the available networks should appear. You should recognize the name here
EFTA00446124
e added at CORE: LIFT session: LIFT is the premier digital fitness club that enables live online group training and 1-1 training through computers, iPads, tablets and Smart TVs. A LIFT session is literally like having your CORE: trainer with you wherever you are - on vacation, business travel or at
EFTA00103630
ls on the computer, or does each image have to be opened individually? Should be viewable as thumbnails • For the images extracted from iPhone and iPads, will the FBI please be sure to include Celebrite so the defense can open those files? Yes • What, if any, metadata will be included with the high

Jeffrey Epstein
PersonAmerican sex offender and financier (1953–2019)

Lesley Groff
PersonExecutive assistant to Jeffrey Epstein (2001-2019)

Richard Kahn
PersonJeffrey Epstein's accountant and estate co-executor (2005-present)
iPhones
OrganizationOrganization referenced in documents

Bill Clinton
PersonPresident of the United States from 1993 to 2001 (born 1946)

Prince Andrew
PersonThird child of Queen Elizabeth II and Prince Philip, Duke of Edinburgh (born 1960)

Julie K. Brown
PersonAmerican journalist

Marc Rich
PersonAmerican commodities trader (1934–2013)

Department of Justice
OrganizationUnited States Department of Justice, federal executive department responsible for law enforcement

Homeland Security
OrganizationU.S. Department of Homeland Security

Prince Charles
PersonKing of the United Kingdom and other Commonwealth realms since 2022 (born 1948)
Leon Black
PersonAmerican billionaire businessman (born 1951)

Paul Ryan
PersonSpeaker of the United States House of Representatives from 2015 to 2019

George W. Bush
PersonPresident of the United States from 2001 to 2009

Harvey Weinstein
PersonAmerican film producer and sex offender (born 1952)

Bradley Cooper
PersonAmerican actor

George Mitchell
PersonFormer U.S. Senator from Maine and special envoy, connected to Epstein through flight logs and social events
Darren Indyke
PersonAmerican lawyer, longtime personal attorney and co-executor of Jeffrey Epstein's estate
Emmy Taylor
PersonFormer assistant to Ghislaine Maxwell, appeared in Epstein flight logs and court documents

House of Representatives
OrganizationLower house of the United States Congress