16
Total Mentions
16
Documents
67
Connected Entities
Organization referenced in documents
EFTA01269548
ses shall be allocated and credited or charged to the Sole Member. B. Distributions. Net cash flow shall be distributed in the following priority: I. First, to the Sole Member in repayment of any advance of funds to the Company as a lender, to the extent of and in proportion to such advances, including
EFTA01282465
ses shall be allocated and credited or charged to the Sole Member. B. Distributions. Net cash flow shall be distributed in the following priority, I. First, to the Sole Member in repayment of any advance of funds to the Company as a lender, to the extent of and in proportion to such advances, including
EFTA01298488
such times and in such amounts as may be determined from time to time and at any time by the Sole Member of the Company in the following priority: I. First, to the Members in repayment of any advance of funds to the Company as a lender, to the extent of and in proportion to such advances, including inte
EFTA00169362
oses shall be allocated and credited or charged to the Sole Member. B. Pjstributions Net cash flow shall be distributed in the following priority, I. First, to the Sole Member in repayment of any advance of funds to the Company as a lender, to the extent of and in proportion to such advances, including
EFTA00400802
late again to apply for the same visa. Last time the letter worked perfect. Would you please provide me with the same one but with different dates: I. First trip to Oslo - November 28 - December 6 2. Second trip to Oslo - December 23 - December 30 EFTA00400802 Thank you! <SICMBT_C25312100215260-1.pdf
EFTA00301836
ses shall be allocated and credited or charged to the Sole Member. B. Distributions. Net cash flow shall be distributed in the following priority: I. First, to the Sole Member in repayment of any advance of finds to the Company as a lender, to the extent of and in proportion to such advances, including
EFTA00312908
ated and credited or charged to the Sole Member. 3 EFTA00312911 B. Distributions. Net cash flow shall be distributed in the following priority: I. First, to the Sole Member in repayment of any advance of funds to the Company as a lender, to the extent of and in proportion to such advances, including
EFTA00360031
ty:$9.00 NYS-Fund Tax:$1.78 Total Charge: $73.08 Extra Stops: Form of Payment: AE ***********- Special Request: INSTRUCTIONS FOR AIRPORT PICK UP I. First collect your luggage. 2. After you have your luggage call 1-800-800-6757 . 3. CarsCo, Inc operator will provide you with the car # and the location
EFTA00611788
h a sharp dichotomy result that generalizes Theorem 1 (see Corollary S2 in Text SI). Remark 1. We highlight two important aspects of our results. I. First, when we establish exponential lower bounds for the expected discovery time, then these lower bounds hold even f the starting sequence is only a fe
EFTA00611781
sh a sharp dichotomy result that generalizes Theorem I (see Corollary S2 in Text SI). Remark 1. We highlight two important aspects of our results. I. First, when we establish exponential lower bounds for the expected discovery time, then these lower bounds hold even if the starting sequence is only a f
EFTA00711685
ed site (in white bubble and to relative scale) offers the best possibilities for your house. But, before reacting to it please let me explain why I. First it is the best and most dominant location of the entire Island; it also has South West and North West protected sides. Besides that you also have be
EFTA01361162
such times and in such amounts as may be determined from time to time and at any time by the Sole Member of the Company in the following priority: I. First, to the Members in repayment of any advance of funds to the Company as a lender, to the extent of and in proportion to such advances, including inte
EFTA01595020
ch times and in such amounts as may be determined from time to time and at any :UDC by the Sole Member of the Company in the following priority. I. First to the Members in repayment ninny aii.vance of funds to the Company as lender, ro Lac extent of rind in proportion to such advances. inchtding int
EFTA01883506
ide Craig, Not at all knowing the extent of information you, and mainly Jeff possess regarding the running of the island, I have a few comments. I. First, I feel after construction is complete, you should pull back staff to bare bones. Review of all is below. 2. I would interview for landscaping and
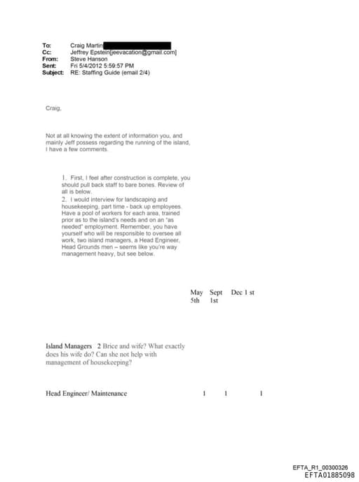
EFTA01885098
/4) Craig, Not at all knowing the extent of information you, and mainly Jeff possess regarding the running of the island, I have a few comments. I. First, I feel after construction is complete, you should pull back staff to bare bones. Review of all is below. 2. I would interview for landscaping and
EFTA02445694
mportantly, I strongly assert that this decision as an incorrect one. I am requesting reconsideration of your decision, for the following reasons: I. First, you refer only to the grievance paperwork received in the Senate Office on Nov 20, 2018. As you are aware, I have since sent you two sets of corres

Jeffrey Epstein
PersonAmerican sex offender and financier (1953–2019)
The Capital Account
OrganizationOrganization referenced in documents
the Office of the Lieutenant Governor
OrganizationUSVI Lieutenant Governor office
U.S. Virgin
LocationU.S. Virgin Islands
GREGORY R. FRANCIS
PersonPerson referenced in documents
Darren Indyke
PersonAmerican lawyer, longtime personal attorney and co-executor of Jeffrey Epstein's estate

U.S. Virgin Islands
LocationUnincorporated territory of the United States of America

Sarah Ferguson
PersonBritish writer, charity patron, public speaker, film producer and television personality, and former duchess of York

Richard Kahn
PersonJeffrey Epstein's accountant and estate co-executor (2005-present)

Lawrence Krauss
PersonAmerican particle physicist and cosmologist

Condoleezza Rice
PersonAmerican diplomat and political scientist (born 1954)

Martin Nowak
PersonAustrian scientist
Markov
PersonSurname reference in documents

Charlotte Amalie
LocationCapital and largest city of the United States Virgin Islands

Steve Bannon
PersonAmerican media executive & political strategist (born 1953)

John Brennan
PersonDirector of the Central Intelligence Agency from 2013 to 2017

Green
PersonNER artifact: Primarily extracted from Steve Hanson email signature about Green Restaurant Association certification

Steve Hanson
PersonAmerican restaurateur, founder of B.R. Guest Hospitality

St Thomas
LocationOne of the main islands of the United States Virgin Islands
Jeanne Brennan
PersonIndividual referenced in Epstein documents