6
Total Mentions
6
Documents
3
Connected Entities
Person referenced in documents
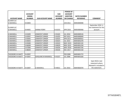
JENNIFER TURNER JUL 2014 AMEX001078 G MAXWELL JENNIFER TURNER MAY 2015 AMEX001192 G MAXWELL JENNIFER TURNER NOV 2015 AMEX001258 G MAXWELL JENNIFER TURNER MAY 2016 AMEX001336 G MAXWELL JENNIFER TURNER DEC 2017 AMEX001558 THEODORE W WAITT FEB 2008 AMEX001772 THEODORE W WAITT GHISLAINE M MAXWEL
Page: EFTA00037703 →EFTA01326039
SROC TRIUMPH CENTURION PER SEC TYPE: PER SEC DATA: G MAXWELL ENGLISH PREY: MA 02114 3252 SUPPS ANNIV 01017 12/17 05026 07/10 EMAIL NAME JENNIFER TURNER K-FIS4-15 07/11/19 SS*: ANNIV: 07/10 ADDR EFF DT: 07/18/18 #SUPPS/CANC: 002/001 EMAIL RETND: N SUSP CANCEL DT CD 10/01/18 09 01/01/01 3715
EFTA01654837
tinued Amount 17111/19 JASON POSSUMAT000000(1001 HERMOSA BEACP CA $325.55 12104/19 WA $91.13 12/14/19 Networksolutions.con• FL $15.88 si JENNIFER TURNER Card Ending Amount 1/22/(9 APPLUDINUILL RKORD STORF IN1kRNE1 CHARGE CA $31.85 12/02/19 APPLECOWBILl RKORD STORE INTFRNFTCHARCS CA $8.48
EFTA01654871
ELLMAX LLC G MAXWELL 0-64001 DANNA PERRY 0-61015 APR 2016 AMEX000468 September 2016 is last statement for this account G MAXWELL 2-01009 JENNIFER TURNER 2-01025 JUL 2010 AMEX000526 G MAXWELL 2-02007 JENNIFER TURNER 2-01025 SEP 2012 AMEX000849 G MAXWELL 2-03005 JENNIFER TURNER 2-02023 APR
EFTA01654873
MMENT ELLMAX LLC G MAXWELL JUN 2011 ELLMAX LLC G MAXWELL DANNA PERRY APR 2016 September 2016 is last statement for this account G MAXWELL JENNIFER TURNER JUL 2010 G MAXWELL JENNIFER TURNER SEP 2012 G MAXWELL JENNIFER TURNER APR 2013 G MAXWELL JENNIFER TURNER JUL 2014 G MAXWELL JENNIFER TURNER
EFTA01325692_sub_001 - EFTA01325692_100
‘IAXVJELL 5.fAXWELL mAXWELL • MAXWELL • MAXWELL MAXWELL • MAXWELL MAXWELL ENNIFER TURNER ENNIFER TURNER ENNIFER TURNER ENNIFER TURNER JENNIFER TURNER JENNIFER TURNER JENNIFER TURNER JENNIFER TURNER JENNIFER TURNER JENNIFER TURNER IKECOORIWAIrt LACEY RALSTON JOSH SHERER THECOORIWAITT THE