2
Total Mentions
2
Documents
0
Connected Entities
Name reference in documents
laintiff, - against - DARREN K. INDYKE, RICHARD D. KAHN, AND GHISLAINE MAXWELL, Defendants. 20-cv-484 (JGK) MEMORANDUM OPINION AND ORDER JOHN G. KOELTL, District Judge: The plaintiff brought this action under a pseudonym as "Jane Doe" against Darren K. Indyke and Richard D. Kahn, in their capaciti
Page: EFTA00029956 →EFTA00793306
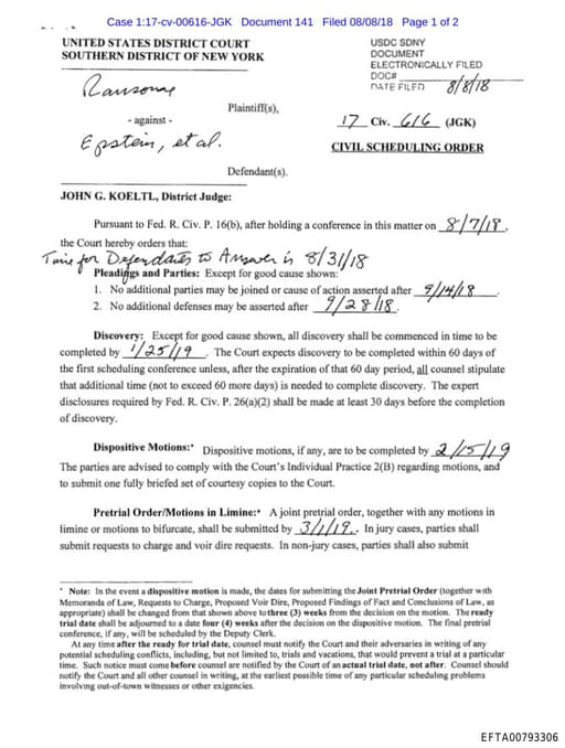
the parties consent to trial before the Magistrate Judge, they arc directed to do so by stipulation. SO ORDERED. Dated: New York, New York SY7// G. KOELTL UNItED STATES DISTRICT JUDGE 2 EFTA00793307
No connected entities