3
Total Mentions
3
Documents
3
Connected Entities
Organization referenced in documents
Final Voucher 10810414(1) prepared by a travel arranger is pending your review Date: Wed, 20 Nov 2019 19:27:14 +0000 Good afternoon all, Alex, an Accounting Department representative just contacted me regarding the transient occupancy tax you were charged for your stay at Doubletree by Hilton Santa Monica, but unfo
Page: EFTA00025248 →EFTA02413743
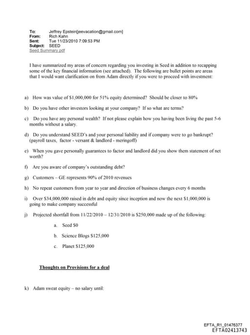
of at least 10% per annum is paid on JEE investment c. Adam future equity in deal should be earned as JEE is repaid and company is profitable I) Accounting Department needs changes a. Vera should not be a part time employee b. Bookkeeper in Montreal makes no sense m) Adam would have no check writing authority /
EFTA00811742_email_002
Miami Port + 3 days of redirection to St Thomas. (or more depending on weather, ...) Still waiting for your reply for the payment Best regards, Accounting Department 4:5 qi/0, /(7/12/17 32,7 33 -----Message d'origine----- De : Sabine GENAUX [mailtOl Envove : vendredi 24 mars 2006 14:57 A: Objet : TR : Paymen