19
Total Mentions
17
Documents
869
Connected Entities
Organization referenced in documents
Dechert, a multinational law firm, appears in the Epstein documents primarily in connection to their investigation into Leon Black's relationship with Jeffrey Epstein. The firm was hired by Apollo Global Management to conduct an internal review of the situation.
Dechert's most significant involvement stems from their investigation of Leon Black's ties to Jeffrey Epstein, which involved reviewing over 60,000 documents and interviewing more than 20 witnesses. The firm's report concluded that Black paid Epstein for estate planning and tax advice, finding no evidence of Black's involvement in Epstein's criminal activities. Other mentions include Dechert being listed alongside other law firms in various contexts, such as legal articles and court filings, indicating their presence in the broader legal landscape.

Perversion of Justice: The Jeffrey Epstein Story
Julie K. Brown
Investigative journalism that broke the Epstein case open

Filthy Rich: The Jeffrey Epstein Story
James Patterson
Bestselling account of Epstein's crimes and network

Relentless Pursuit: My Fight for the Victims of Jeffrey Epstein
Bradley J. Edwards
Victims' attorney's firsthand account
inst his estranged wife, "Real Housewives of Beverly Hills" star Erika Girardi. Read full article » ENRC Adviser Regrets Lying In SFO Tipoff About Dechert Atty A former ENRC security consultant testified on Wednesday that he regretted lying in an anonymous letter he sent to the Serious Fraud Office ac
Page: EFTA00032742 →attorney fees in pro bono work to five national and local Alabama organizations supporting civil rights and diversity efforts. Read full article » Dechert Hit With Discrimination Suit By Ex-Billing Manager A former billing manager at Dechert LLP said her supervisor created a hostile work environment a
Page: EFTA00032742 →attorney fees in pro bono work to five national and local Alabama organizations supporting civil rights and diversity efforts. Read full article » Dechert Hit With Discrimination Suit By Ex-Billing Manager YouTube Inc. Zeughauser Group LLC GOVERNMENT AGENCIES Consumer Financial Protection Bureau E
Page: EFTA00032735 →ormer ENRC security consultant testified on Wednesday that he regretted lying in an anonymous letter he sent to the Serious Fraud Office accusing a Dechert attorney investigating alleged corruption at the Kazakh mining company of colluding with the agency's officials. Read full article » NYC Bar Wants
Page: EFTA00032732 →e exception to the rule of broad circuit-level interpretation as this statute becomes an increasingly powerful tool for litigators, say attorneys at Dechert. Opinion attached I Read full article » Mediator Confidentiality Promises Carry Serious Risks A mediation agreement that promises to keep evidence
Page: EFTA00025395 →uedas Gassman Arnold & Porter BakerHostetler Black Srebnick Bryan Cave Call & Jensen Covington & Burling Cuneo Gilbert Davis Wright Tremaine Dechert Earthjustice Farnan LLP Foley Hoag Gibson Dunn Haynes and Boone Holland & Knight Hooper Lundy Jager Smith Jones Day Kirkland & Ellis Labat
Page: EFTA00026434 →podcast here LAW FIRMS Alexander Dubose Arnold & Itkin Baker Botts Baker McKenzie Boies Schiller Brown & Crouppen Carlton Fields Cole Scott Dechert DiMuroGinsberg PC Doll Amir Duane Morris Ewell Brown Fox Rothschild Friday & Cox Gibson Dunn Greenberg Traurig Holland & Knight Horack Tall
Page: EFTA00026451 →'Drunken Boasts' A former SFO chief defended his decision not to investigate "absurd" accusations that the agency fed insider information to help a Dechert attorney win work on high-profile fraud cases, testifying Tuesday that these were "probably the boasts of a man in drink." Read full article » Ex
Page: EFTA00029606 →c toll systems, upholding the U.S. International Trade Commission's decision in an infringement case Neology Inc. brought against rival companies. Dechert Divine & Estes Dressman Benzinger Duane Morris Earthjustice Edelson PC Epstein Becker Green Evans & Dixon Faegre Baker Fenwick & West Fisch S
Page: EFTA00032401 →Donelson Bona Law PC Bonsignore Trial Lawyers Brafman & Associates Butler Snow LLP Cadwalader Wickersham Cleary Gottlieb Cloth Fair Chambers Dechert Donnelly Conroy Fick & Marx Fishman Haygood Greenberg Traurig Hogan Lovells Javerbaum Wurgaft Kasowitz Benson Keker Van Nest & Peters Kemp J
Page: EFTA00032549 →EFTA00077262
hile. so if you have not noticed i have written a good deal about the big fees that Leon Black paid Jeffrey Epstein for tax and estate planning that Dechert says may have save Black between $1 billion and $2 billion in taxes Is this anything your office is looking into matt Matthew Goldstein The New
EFTA00136851
d- leak at the behest of American private intelligence company Vital Management Services, which in turn had been hired by the international law firm Dechert on behalf of the Ras Al Khaimah Investment Authority (RAKIA), an investment fund based in the United Arab Emirates. Reuters reported in June that Be
EFTA00148687
nd-leak at the behest of American private intelligence company Vital Management Services, which in turn had been hired by the international law firm Dechert on behalf of the Ras Al Khaimah Investment Authority (RAKIA), an investment fund based in the United Arab Emirates. Reuters reported in June that B
EFTA02730996
tein and Apollo Global Management, Inc. In October 2020, the Conflicts Committee of Apollo Global Management, Inc. ("Apollo") retained Dechert LLP ("Dechert") as independent counsel to conduct a thorough investigation into (1) the relationship between Leon Black ("Black") and Jeffrey Epstein ("Epstein"),
EFTA02731023
and abuse of dozens of underage girls.2 The findings of the Apollo board's review, compiled in a report prepared by the law firm Dechert LLP ("the Dechert report"), were published in a filing by Apollo with the U.S. Securities and Exchange Commission! The Dechert report indicated that you paid Epstein
EFTA00605781
York State Bar Association Association of the Bar of the City of New York American Bar Association Related Events January 25. 2010 Presented by Dechert An Update on the Estate and CST Tax Repeal • To Die or Not to Die in 2010.-That is the Question Dechert LLP Philadelphia. PA Related News Dece
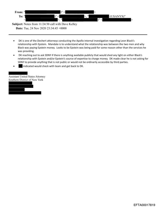
From: " To: ' IEllicnanJSANYS)“ Subject: Notes from 11/24/30 call with Dave Kelley Date: Tue, 24 Nov 2020 23:34:45 +0000 • DK is one of the Dechert attorneys conducting the Apollo internal investigation regarding Leon Black's relationship with Epstein. Mandate is to understand what the relations
Page: EFTA00017819 →EFTA01658539
nd-leak at the behest of American private intelligence company Vital Management Services, which in turn had been hired by the international law firm Dechert on behalf of the Ras Al Khaimah Investment Authority (RAKIA), an investment fund based in the United Arab Emirates. Reuters reported in June that B
ilstein Cooley LLP Cozen O'Connor Cravath Swaine Crowell & Moring DLA Piper Davidoff Hutcher Davis Firm PC Davis Polk Davis Wright Tremaine Dechert Desmarais LLP Dewey & LeBoeuf Erskine Chambers Essex Court Chambers Foy & Seplowitz Gibson Dunn Goldfarb Seligman Goodwin Procter EFTA000252
Page: EFTA00025231 →
Jeffrey Epstein
PersonAmerican sex offender and financier (1953–2019)

Department of Justice
OrganizationUnited States Department of Justice, federal executive department responsible for law enforcement

Donald Trump
PersonPresident of the United States (2017–2021, 2025–present)
Dechert LLP
OrganizationOrganization referenced in documents

Law360
OrganizationSubscription-based, legal news service operated by the Portfolio Media company, a subsidiary of LexisNexis

Rahm Emanuel
PersonAmerican politician (born 1959)

Philadelphia
Location1993 film by Jonathan Demme
Leon Black
PersonAmerican billionaire businessman (born 1951)

Prince Andrew
PersonThird child of Queen Elizabeth II and Prince Philip, Duke of Edinburgh (born 1960)

Michael Cohen
PersonAmerican former attorney and former Republican official
Ace Greenberg
PersonAmerican executive, former CEO and Chairman of Bear Stearns, who hired Jeffrey Epstein in 1976 (1927-2014)

Supreme Court
OrganizationHighest court of jurisdiction in the US

Andrew Cuomo
PersonGovernor of New York from 2011 to 2021
American Bar Association
OrganizationLaw firm

Hogan Lovells
PersonAmerican-British law firm

Michigan
LocationState of the United States of America

Virginia Giuffre
PersonAdvocate for sex trafficking victims (1983–2025)
Mayer Brown
PersonPerson referenced in documents

Denver
LocationConsolidated city-county and capital of Colorado, United States

San Diego
LocationSeat of San Diego County, California, United States; second-largest city in California