125
Total Mentions
125
Documents
1,168
Connected Entities
AT&T Wireless telecommunications
AT&T Wireless appears in the Epstein documents primarily in the context of billing records and legal requests for information related to Jeffrey Epstein's accounts. A subpoena was issued to AT&T Wireless for records related to Epstein.
AT&T Wireless's presence is noted through billing statements addressed to Jeffrey Epstein and a grand jury subpoena. The subpoena, issued by the District Court for the Southern District of New York, requested business records from AT&T Wireless. The documents also contain a reference to an AT&T Wireless invoice dated May 5, 2004, for an account in Epstein's name.

Perversion of Justice: The Jeffrey Epstein Story
Julie K. Brown
Investigative journalism that broke the Epstein case open

Filthy Rich: The Jeffrey Epstein Story
James Patterson
Bestselling account of Epstein's crimes and network

Relentless Pursuit: My Fight for the Victims of Jeffrey Epstein
Bradley J. Edwards
Victims' attorney's firsthand account
111. Total Current Monthly Charges DUE UPON RECEIPT TOTAL AMOUNT DUE 121.79 52.32 478.74 56.54 453.71 PAYMENT DUE UPON RECEIPT AMOUNT DUE: AT&T WIRELESS Acct Name: JEFF STEIN & CO P.O. BOX 8220 Account: AURORA IL 60572-8220 Wireless: JEFFREY E EPSTEIN & CO 457 MADISON AVE NEW YORK NY 10022-68
Page: EFTA00014767 →, visit us online at www.attwireless.com/ocs, dial 611 from your wireless phone or stop by your nearest AT&T Wireless Store. Thanks for ch oosing AT&T Wireless. Regulatory Programs Fee The Regulatory Programs Fee helps to fund AT&T Wireless compliance with various goverftment mandated programs. This is n
Page: EFTA00014823 →PAGE BREAK --- 06/15/2020 22:51 2123848289 C20 PAGE 02/04 Grand Jury Subpoena pnitehatnfropishirt Qlnint sou abithi DISTRICT OF NEW YORK TO: AT&T Wireless Legal Compliance 11760 Highway 1, Suite 600 North Palm Beach, FL 33408 GREETINGS: WE COMMAND YOU that all and singular business and excuses being
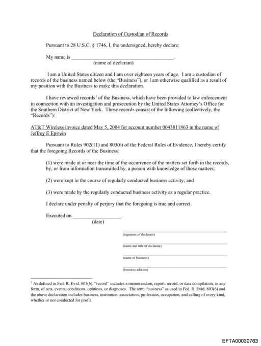
Page: EFTA00017126 →y the United States Attorney's Office for the Southern District of New York. Those records consist of the following (collectively, the "Records"): AT&T Wireless invoice dated May 5, 2004 for account number 0043811863 in the name of Jeffrey E Epstein Pursuant to Rules 902(11) and 803(6) of the Federal Rules
Page: EFTA00030763 →EFTA00068417
1584 SDNY _ GM _ 00271593 2021.10.11 550 Series I Phone Records GX Description Bates Number/Identifier Produced to Defense GX-55 I May 2004 AT&T Wireless Monthly Statement for Jeffrey Epstein SONY GM 00365036-SDNY GM 00365049 , 2021.10.11 600 Series Miscellaneous Documents GX Description Bates N
EFTA00068540
_GM_00271584-SDNYIGM100271593 2021.10.11 550 Series Phone Records GX Description Bates Number/Identifier Produced to Defense GX-551 May 2004 AT&T Wireless Monthly Statement for Jeffrey Epstein SDNY_GM_00365036-SDNY_GM_00365049 2021.10.11 600 Series Miscellaneous Documents GX Description Bates Num
EFTA00068996
AT&T Wireless JEFFREY E EPSTEIN SUMMARY OF MONTHLY CHARGES FOR ACCOUNT 0043811863 Questions or Changes? • attwireless.com • Toll Free 1 866 293.4634 • 611
EFTA00085040
, 10, 15, and 17 7 EFTA00085046 550 Series Phone Records X Description Status Bates Number/Identifier Produced to Defense GX-551 May 2004 AT&T Wireless Monthly Statement for Jeffrey Epstein Scaled SDNY GM 00365036-SDNY GM 00365049 2021.10.11 600 Series Miscellaneous Documents GX Description S
EFTA00088936
71584•SDNY_CAl_00271593 2021.10.11 550 Series Phone Records CX Description Bate Number/Identifier Source Produced to Delete GX•551 May 2004 AT&T Wireless Monthly Statement for Jeffrey Epstein SDNY (iX1 00365036.SDNY (Al 00365049 2021.10.11 600 Series Miscellaneous Documents CX Description Barn N
EFTA00097921
to arrange for the rectum of this communication to us at our expense. Thank you. MtOfficiaMmth4 11 R C 0 227815 EFTA00097923 •• •••=1. = AT&T Wireless IN SUMMARY OF MONTHLY CHARGES FOR ACCOUNT 0043811863 Questions or Changes? 4 attwireless.com 4 Tel Free 1 866 293.4634 4 611 frorn your wire
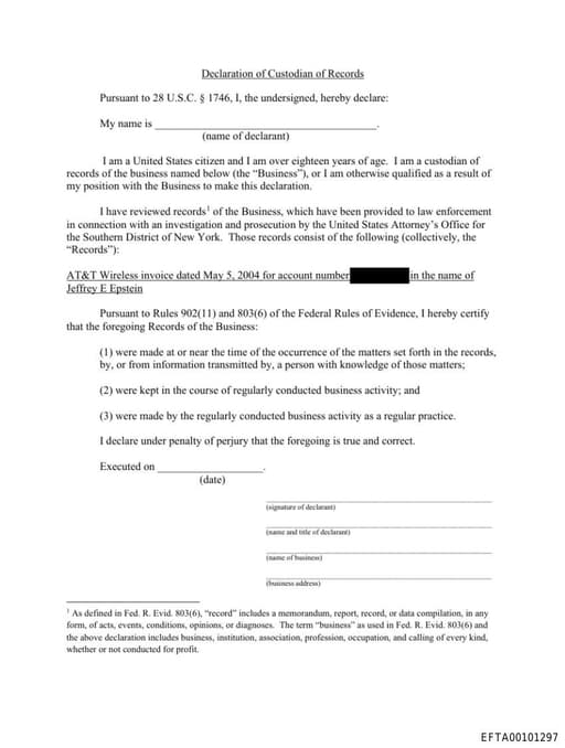
EFTA00101297
y the United States Attorney's Office for the Southern District of New York. Those records consist of the following (collectively, the "Records"): AT&T Wireless invoice dated May 5, 2004 for account number in the name of Jeffrey E Epstein Pursuant to Rules 902(11) and 803(6) of the Federal Rules of Evidenc
EFTA00151591
ri inal Messa e From: . (NY) (FBI) <MMINIME> Sent: Tuesda , April 30, 2019 3:35 PM To: USANYS <MIMIE>; (USANYS) Cc: Subject: RE: ATT returns AT&T Wireless T-Mobile Verizon Wireless T-Mobile : Sprint Spectrum (current); T-Mobile (historical associated with ) T-Mobile <1=MINM> From: (USANYS) [mai
EFTA01305853
P AT&T Wireless JEFFREY E EPSTEIN 457 MADISON AVE NEW YORK NY 10022-6843 SUMMARY OF MONTHLY CHARGES FOR ACCOUN Previous Balance 879.45 Payments Received -8
EFTA01305827
w AT&T Wireless JEFFREY E EPSTEIN 457 MADISON AVE NEW YORK NY 10022-6843 SUMMARY OF MONTHLY CHARGES FOR ACCOUNT Questions or Changes? • attwireless.com • To
EFTA01305815
-=k w AT&T Wireless JEFFREY E EPSTEIN 457 MADISON AVE NEW YORK NY 10022-6843 SUMMARY OF MONTHLY CHARGES FOR ACCOUNT 0043811863 Questions or Changes? • attwireless
EFTA01309697
P • •••=k xcingylar AT&T Wireless JEFFREY E EPSTEIN 457 MADISON AVE NEW YORK NY 10022-6843 SUMMARY OF MONTHLY CHARGES FOR ACCOUNT Previous Balance 256.07 Payments Received -
EFTA01310311
AT&T Wireless JEFFREY E EPSTEIN 457 MADISON AVE NEW YORK NY 10022.6843 SUMMARY OF MONTHLY CHARGES FOR ACCOUNT 0043811863 Questions or Changes? • atmireless.
EFTA01310850
AT&T Wireless SUMMARY OF MONTHLY CHARGES FOR ACCOUNT 0035224228 Questions or Changes? • athweless.com • Toll Free 1 866 293-4634 • Ell from your wireless ph
EFTA01316035
>CCillgUlar — AT&T Wireless wr JEFFREY E EPSTEIN 457 MADISON AVE NEW YORK NY 10022-6843 SUMMARY OF MONTHLY CHARGES FOR ACCOUNT Previous Balance 256.07 Payments Receive
K --- ACCOUNT NAME ACCOUNMIN BILL DATE PAGE 3.0 JEFFREY E EPSTEIN & AUG 14, 2003 We have important information on your wireless account. Your AT&T Wireless coverage map for the mLife National Plans may reflect an err or. Puerto Rico is not part of the Digital National Service Area. Domestic Long Distan
Page: EFTA00014719 →
Eric Holder
PersonUnited States Attorney General from 2009 to 2015
Anaheim Hills
LocationCity in California

Palm Beach
LocationTown in Palm Beach County, Florida, United States

NEW YORK NY
LocationState of the United States of America
AT&T Digital One Rate
OrganizationAT&T Digital One Rate wireless plan

Jeffrey Epstein
PersonAmerican sex offender and financier (1953–2019)
the General Terms and Conditions
OrganizationOrganization referenced in documents
BROOKLYN NY
LocationBorough of New York City
MIAMI FL
LocationCity in Florida
DELRAY BCH FL
OrganizationOrganization referenced in documents
Calla
PersonNER artifact - OCR error or non-person text
NWKND MIN
OrganizationOrganization referenced in documents
Item Dale Time
PersonPerson referenced in documents
UNLIMITED N/WKND MIN
OrganizationOrganization referenced in documents
MMODE/DATA SERVICE
OrganizationOrganization referenced in documents
CHTAMSTTHS VI
OrganizationOrganization referenced in documents
WAITNG
OrganizationOrganization referenced in documents
AURORA IL
LocationCity in Illinois
IAOBL
OrganizationOrganization referenced in documents

Hollywood
LocationNeighborhood in Los Angeles, California, United States