3
Total Mentions
3
Documents
5
Connected Entities
itizen midis enable to register aircraft in its name. in this regard, we make the following repaeseumtions: The fitll Bane of the Applicant LLC is JEGE, LLC The state in which the LLC is laulidly organized is United States Virgin Islands The effective date of the LLC is October 19.2012 The name of each of
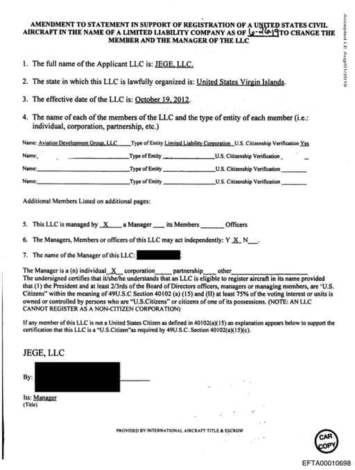
Page: EFTA00010696 →IN THE NAME OF A LIMITED LIABILITY COMPANY AS OF ire( WilTO CHANGE THE MEMBER AND THE MANAGER OF THE LLC 1. The full name of the Applicant LLC is: JEGE, LLC, 2. The state in which this LLC is lawfully organized is: United States Virgin Islands. 3. The effective date of the LLC is: October. 19, 2012. 4.
Page: EFTA00010698 →at the Epstein Enterprise used to traffick young women and children — Freedom Air Petroleum, LLC (registered November 28, 2011 to hold assets); and JEGE, LLC (registered October 19, 2012 to hold assets). 87. Other Epstein entities include LSJ Employees, LLC (registered October 27, 2011 to provide servic
Page: EFTA00018795 →
Jeffrey Epstein
PersonAmerican sex offender and financier (1953–2019)
301 E. 66th Street
LocationLarry Visoski
Person
Little St. James Island
LocationIsland in Franklin County, Florida, United States

Great St. James Island
Location