1
Total Mentions
1
Documents
0
Connected Entities
Name reference in documents
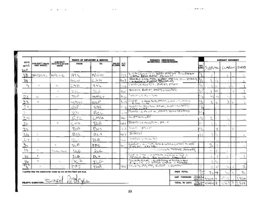
Vick Lambro is listed on a flight manifest from November 22, 2003, aboard Jeffrey Epstein's private jet.
Vick Lambro appears on a flight manifest for a flight from TIST to PBI on November 22, 2003, along with Chris Camaros, Jeff Epstein, Tom Payette, and Sarah Kellen. This is the only mention of Vick Lambro in the provided documents.

Perversion of Justice: The Jeffrey Epstein Story
Julie K. Brown
Investigative journalism that broke the Epstein case open

Filthy Rich: The Jeffrey Epstein Story
James Patterson
Bestselling account of Epstein's crimes and network

Relentless Pursuit: My Fight for the Victims of Jeffrey Epstein
Bradley J. Edwards
Victims' attorney's firsthand account
Vick Lambro
No connected entities